首页 > 声乐 > 简谱 / 正文内容_献给钟南山_抗疫歌曲-献给钟南山,韩红简谱

献给钟南山_抗疫歌曲-献给钟南山,韩红简谱

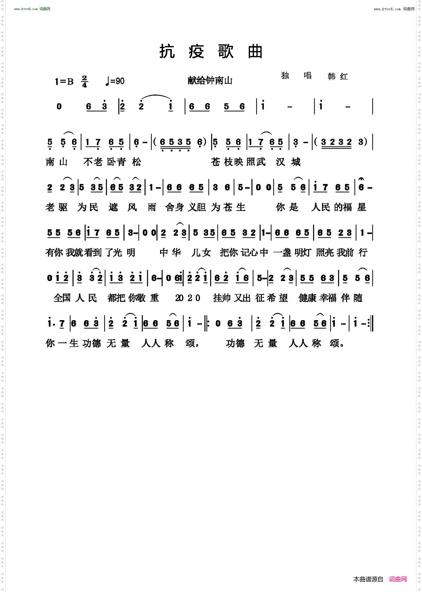
献给钟南山_抗疫歌曲

相关话题:献给钟南山   韩红

乐器分类
戏曲专栏
热门话题