首页 > 声乐 > 简谱 / 正文内容_早晨的歌-早晨的歌,朱文洲,莫索简谱

早晨的歌-早晨的歌,朱文洲,莫索简谱

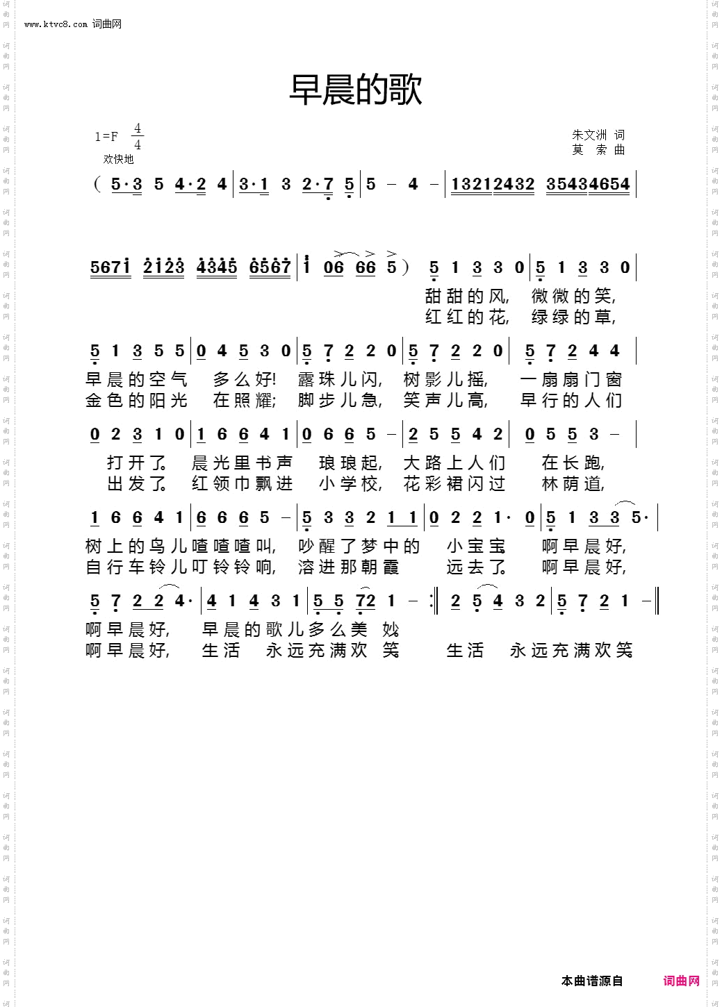
早晨的歌

相关话题:早晨的歌   朱文洲   莫索

乐器分类
戏曲专栏
热门话题