首页 > 声乐 > 简谱 / 正文内容_2002年的第一场雪-刀郎,刀郎简谱

2002年的第一场雪-刀郎,刀郎简谱

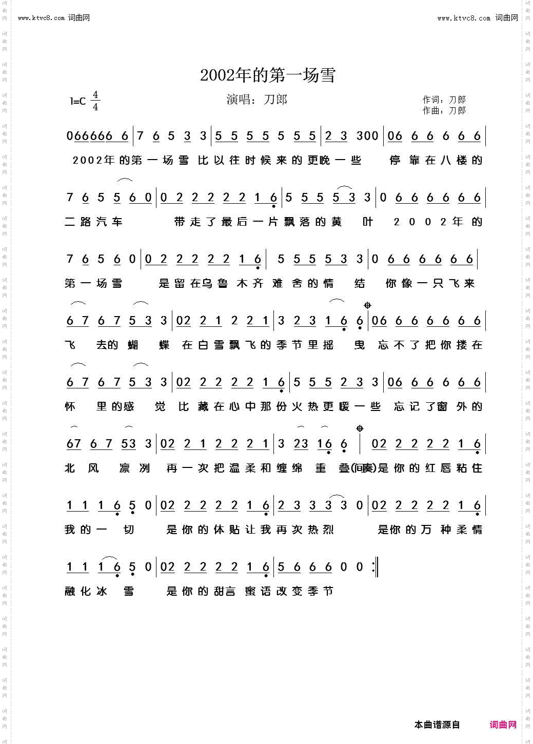
2002年的第一场雪

相关话题:刀郎   刀郎

乐器分类
戏曲专栏
热门话题