首页 > 声乐 > 简谱 / 正文内容_能干点啥就干点啥_胡一涵演唱-老树,温广,胡一涵简谱

能干点啥就干点啥_胡一涵演唱-老树,温广,胡一涵简谱

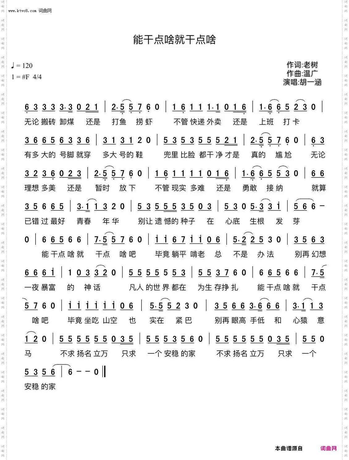
能干点啥就干点啥_胡一涵演唱

相关话题:老树   温广   胡一涵

乐器分类
戏曲专栏
热门话题