首页 > 声乐 > 简谱 / 正文内容_神圣使命-神圣使命,陆振,陆振,罗勋,陆振简谱

神圣使命-神圣使命,陆振,陆振,罗勋,陆振简谱

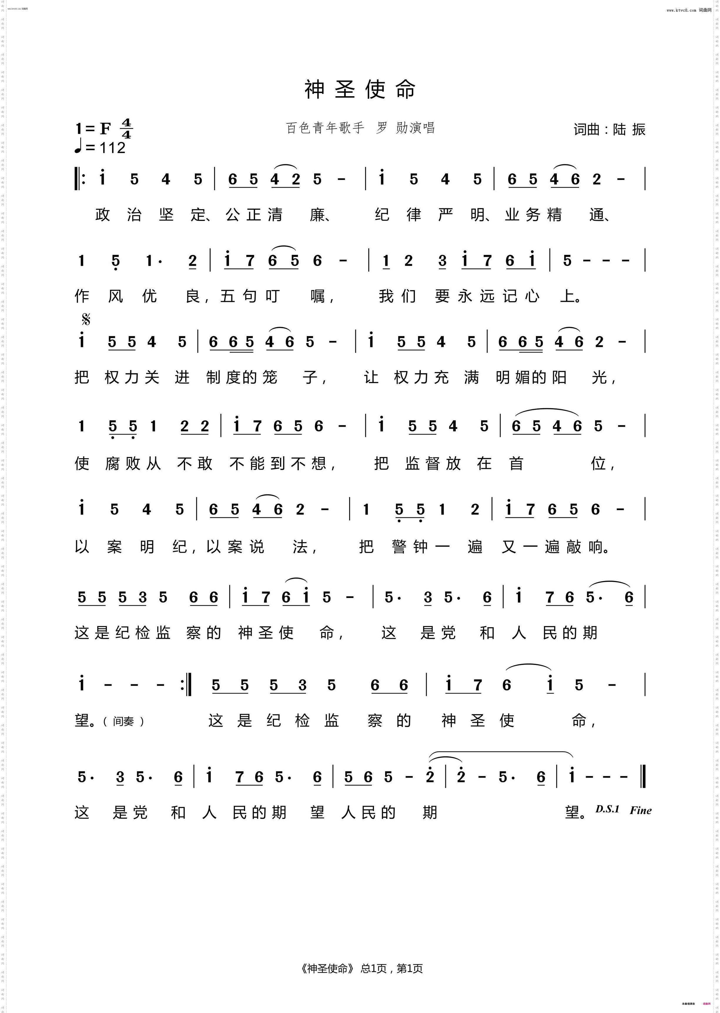
神圣使命

相关话题:神圣使命   陆振   陆振   罗勋   陆振

乐器分类
戏曲专栏
热门话题