首页 > 声乐 > 简谱 / 正文内容_我可爱的家乡-我可爱的家乡,郝振军,晨光简谱

我可爱的家乡-我可爱的家乡,郝振军,晨光简谱

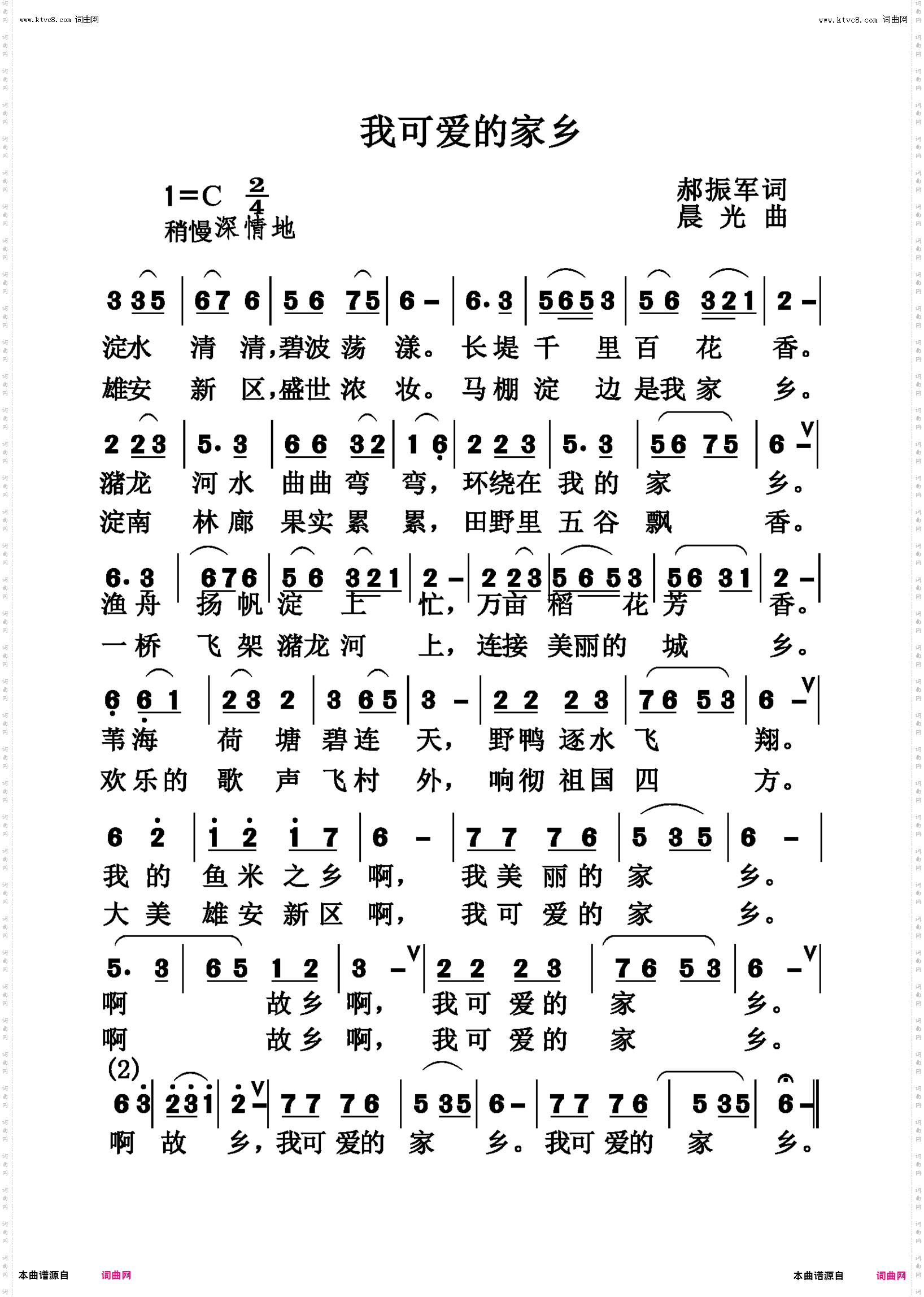
我可爱的家乡

相关话题:我可爱的家乡   郝振军   晨光

乐器分类
戏曲专栏
热门话题