首页 > 声乐 > 简谱 / 正文内容_翠湖等你来相会-李广好,李广好,王觉简谱

翠湖等你来相会-李广好,李广好,王觉简谱

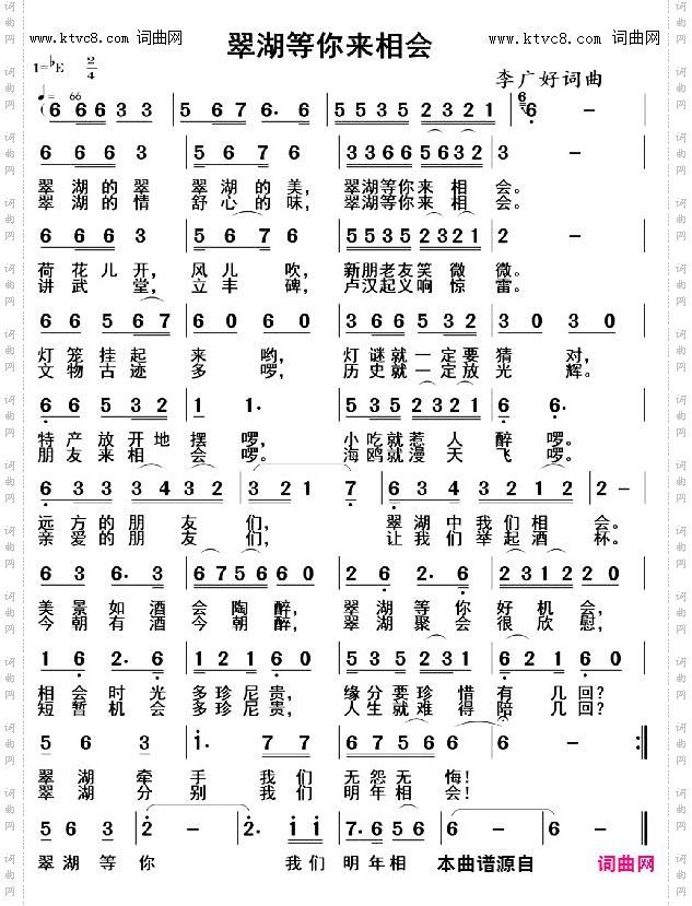
翠湖等你来相会

相关话题:李广好   李广好   王觉

乐器分类
戏曲专栏
热门话题