首页 > 声乐 > 简谱 / 正文内容_光荣的航天人-光荣的航天人,路俊,闫俊波,王增何简谱

光荣的航天人-光荣的航天人,路俊,闫俊波,王增何简谱

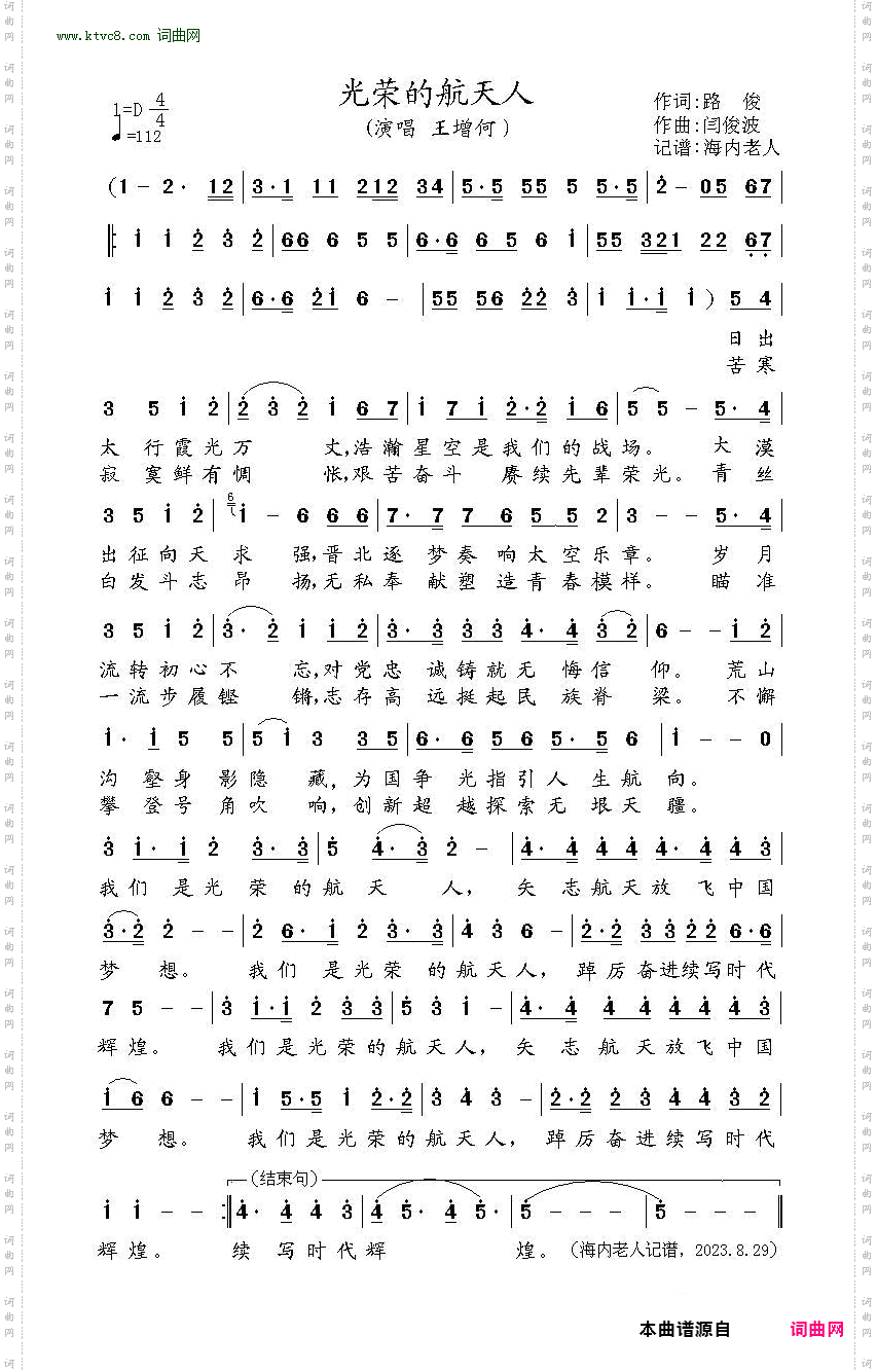
光荣的航天人

相关话题:光荣的航天人   路俊   闫俊波   王增何

乐器分类
戏曲专栏
热门话题