首页 > 声乐 > 简谱 / 正文内容_一个甜美的微笑给自己-陈会芹,邓水金,邓水金简谱

一个甜美的微笑给自己-陈会芹,邓水金,邓水金简谱

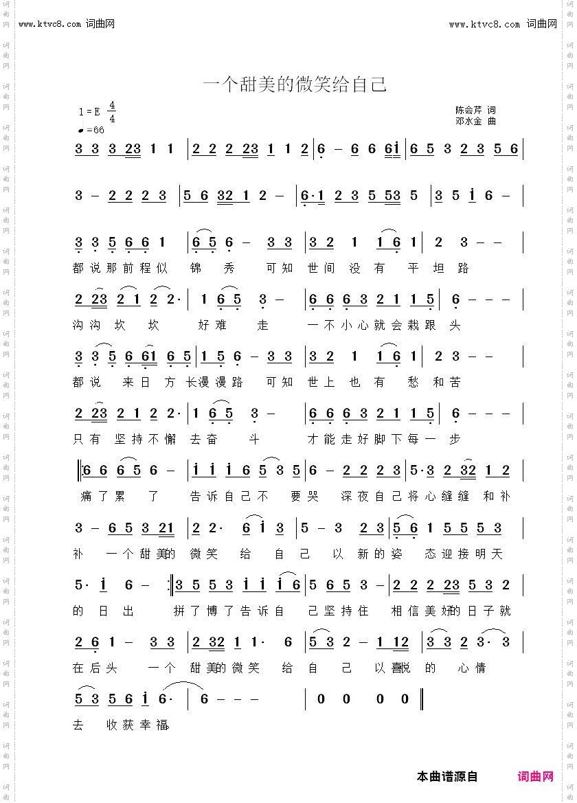
一个甜美的微笑给自己

相关话题:陈会芹   邓水金   邓水金

乐器分类
戏曲专栏
热门话题