首页 > 声乐 > 简谱 / 正文内容_歌唱二小放牛郎D调伴奏-简谱

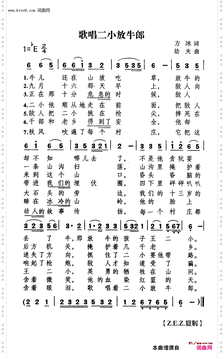
歌唱二小放牛郎D调伴奏-简谱

歌唱二小放牛郎D调伴奏

相关话题:

猜你喜欢的简谱

    暂无相关信息
乐器分类
戏曲专栏
热门话题