首页 > 声乐 > 简谱 / 正文内容_仿陆游《示儿》诗-仿陆游-示儿,张宏梁,张宏梁,张宏梁简谱

仿陆游《示儿》诗-仿陆游-示儿,张宏梁,张宏梁,张宏梁简谱

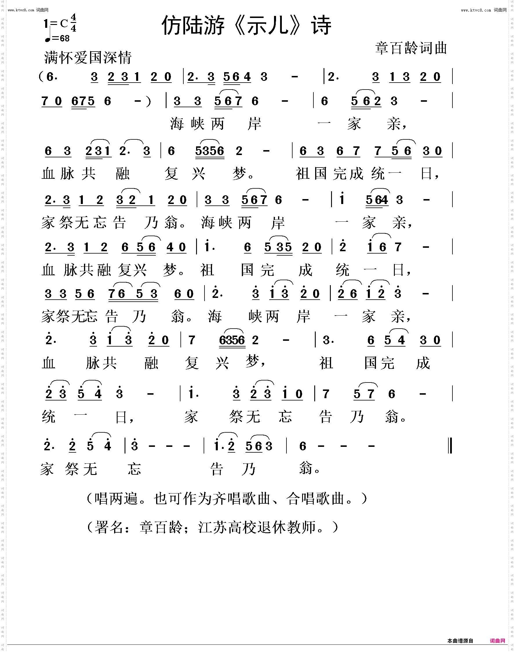
仿陆游《示儿》诗

相关话题:仿陆游-示儿   张宏梁   张宏梁   张宏梁

乐器分类
戏曲专栏
热门话题