首页 > 声乐 > 简谱 / 正文内容_等你归来_献给人民的好干部焦裕禄-等你归来,程远,洪洋,洪洋音乐工作室,林亿竹田辰,钢琴郭斌简谱

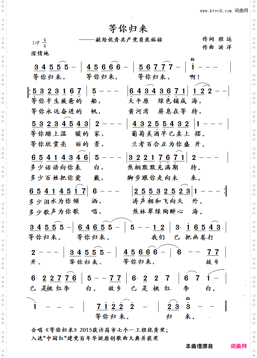
等你归来_献给人民的好干部焦裕禄-等你归来,程远,洪洋,洪洋音乐工作室,林亿竹田辰,钢琴郭斌简谱

等你归来_献给人民的好干部焦裕禄

相关话题:等你归来   程远   洪洋   洪洋音乐工作室   林亿竹田辰   钢琴郭斌

乐器分类
戏曲专栏
热门话题