首页 > 声乐 > 简谱 / 正文内容_砺剑战歌-砺剑战歌,姚玉凤,龚国强,朱跃明简谱

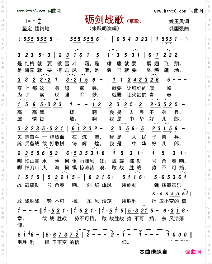
砺剑战歌-砺剑战歌,姚玉凤,龚国强,朱跃明简谱

砺剑战歌

相关话题:砺剑战歌   姚玉凤   龚国强   朱跃明

乐器分类
戏曲专栏
热门话题