首页 > 声乐 > 简谱 / 正文内容_库尔勒之恋-库尔勒之恋,张国伟,张国伟,张国伟简谱

库尔勒之恋-库尔勒之恋,张国伟,张国伟,张国伟简谱

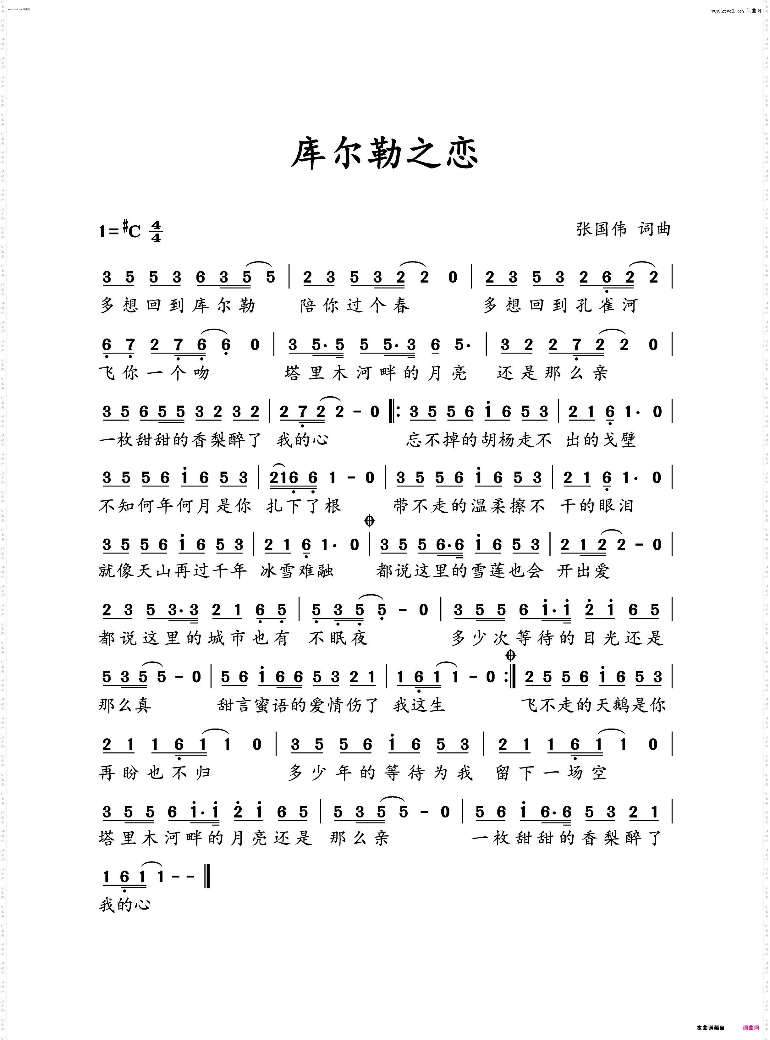
库尔勒之恋

相关话题:库尔勒之恋   张国伟   张国伟   张国伟

乐器分类
戏曲专栏
热门话题