首页 > 声乐 > 简谱 / 正文内容_我家门前一枝花_新疆舞曲-简谱

我家门前一枝花_新疆舞曲-简谱

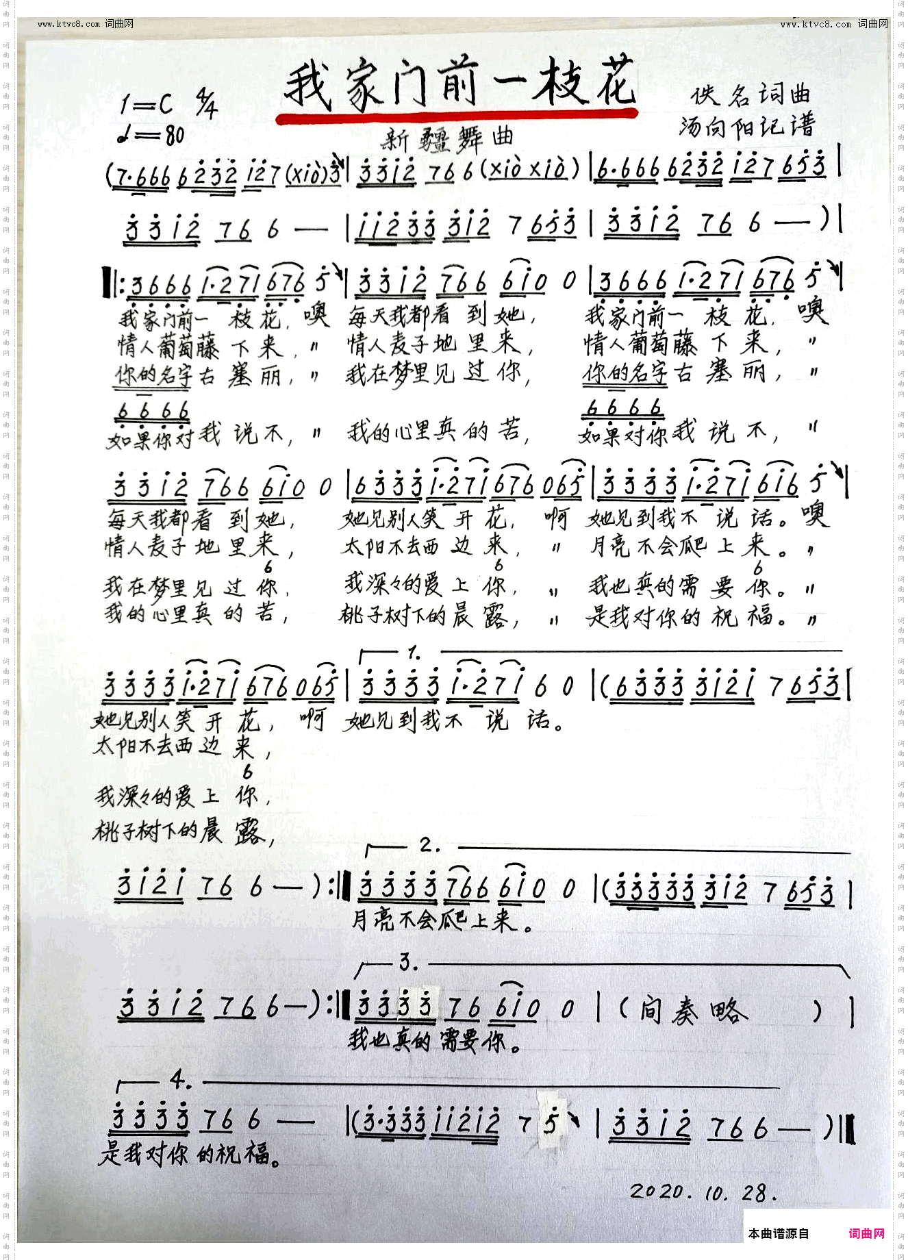
我家门前一枝花_新疆舞曲

相关话题:

猜你喜欢的简谱

    暂无相关信息
乐器分类
戏曲专栏
热门话题