首页 > 声乐 > 简谱 / 正文内容_荒城之月-荒城之月,上井晚翠,浝廉太郎简谱

荒城之月-荒城之月,上井晚翠,浝廉太郎简谱

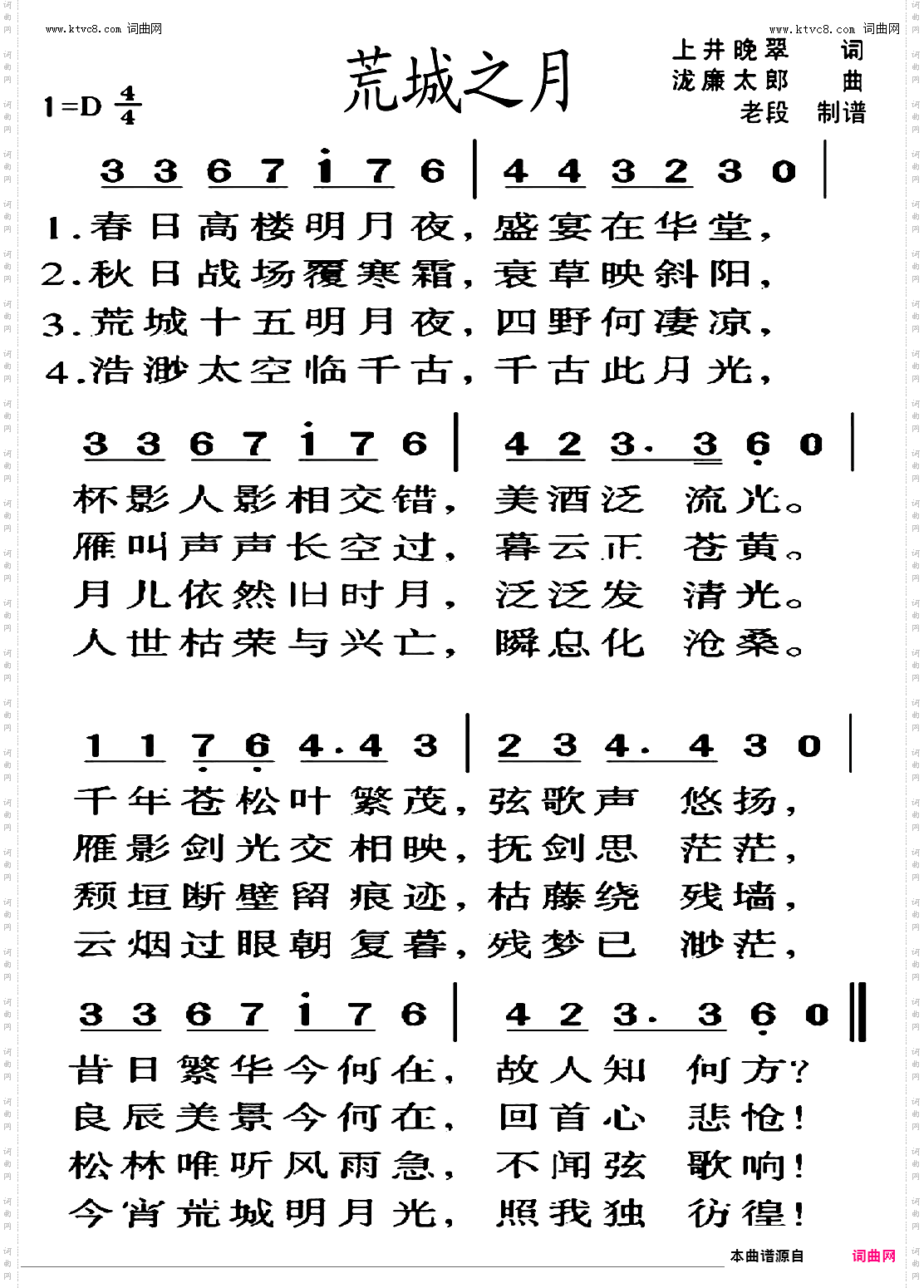
荒城之月

相关话题:荒城之月   上井晚翠   浝廉太郎

乐器分类
戏曲专栏
热门话题