首页 > 声乐 > 简谱 / 正文内容_金秋锣鼓庆国强-梁经庆,吕本林简谱

金秋锣鼓庆国强-梁经庆,吕本林简谱

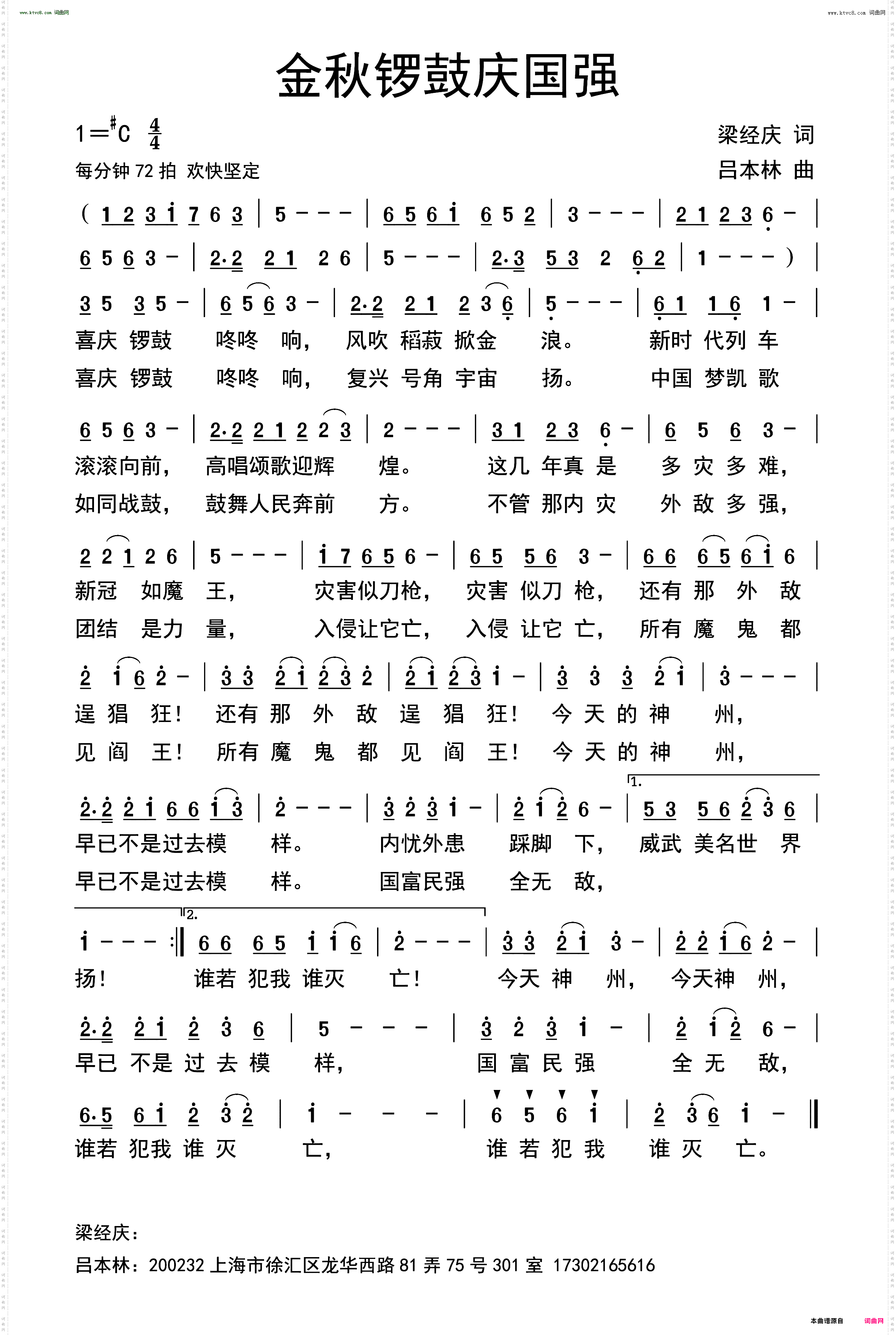
金秋锣鼓庆国强

相关话题:梁经庆   吕本林

乐器分类
戏曲专栏
热门话题