首页 > 声乐 > 简谱 / 正文内容_一带一路惠天下_闻梵唱、任清彪曲-李大江,任清彪,闻梵,任清彪简谱

一带一路惠天下_闻梵唱、任清彪曲-李大江,任清彪,闻梵,任清彪简谱

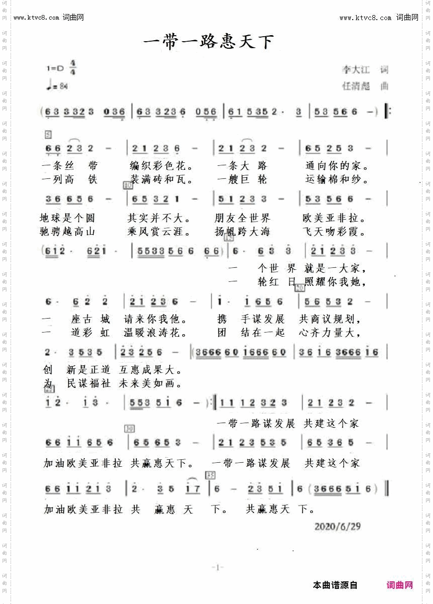
一带一路惠天下_闻梵唱、任清彪曲

相关话题:李大江   任清彪   闻梵   任清彪

乐器分类
戏曲专栏
热门话题