首页 > 声乐 > 简谱 / 正文内容_仰望布达拉-仰望布达拉,谢堂章,宋国英简谱

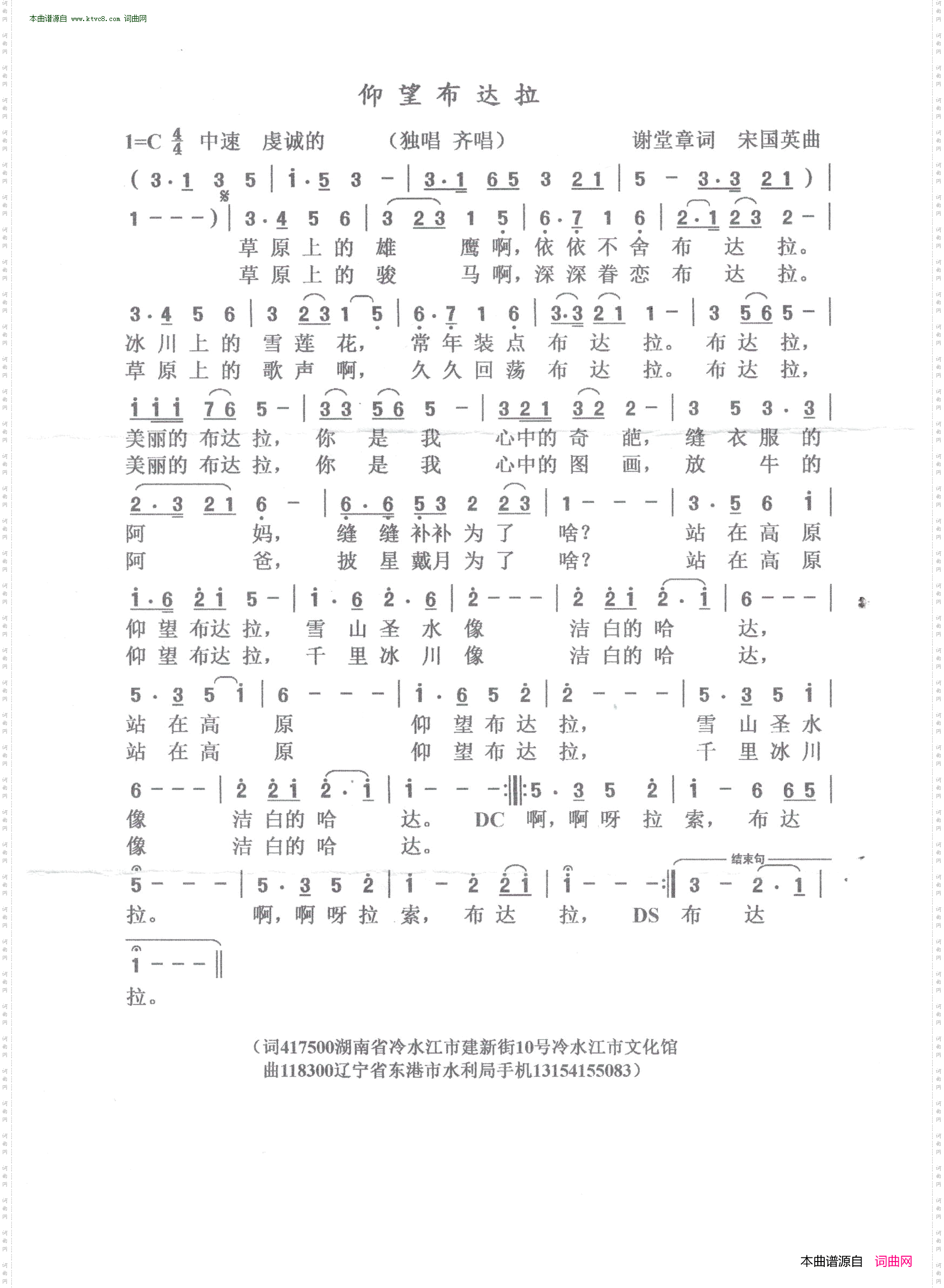
仰望布达拉-仰望布达拉,谢堂章,宋国英简谱

仰望布达拉

相关话题:仰望布达拉   谢堂章   宋国英

乐器分类
戏曲专栏
热门话题