首页 > 声乐 > 简谱 / 正文内容_十唱共产党_小合唱-十唱共产党,佚名,陕北民歌,小合唱,杨居文简谱

十唱共产党_小合唱-十唱共产党,佚名,陕北民歌,小合唱,杨居文简谱

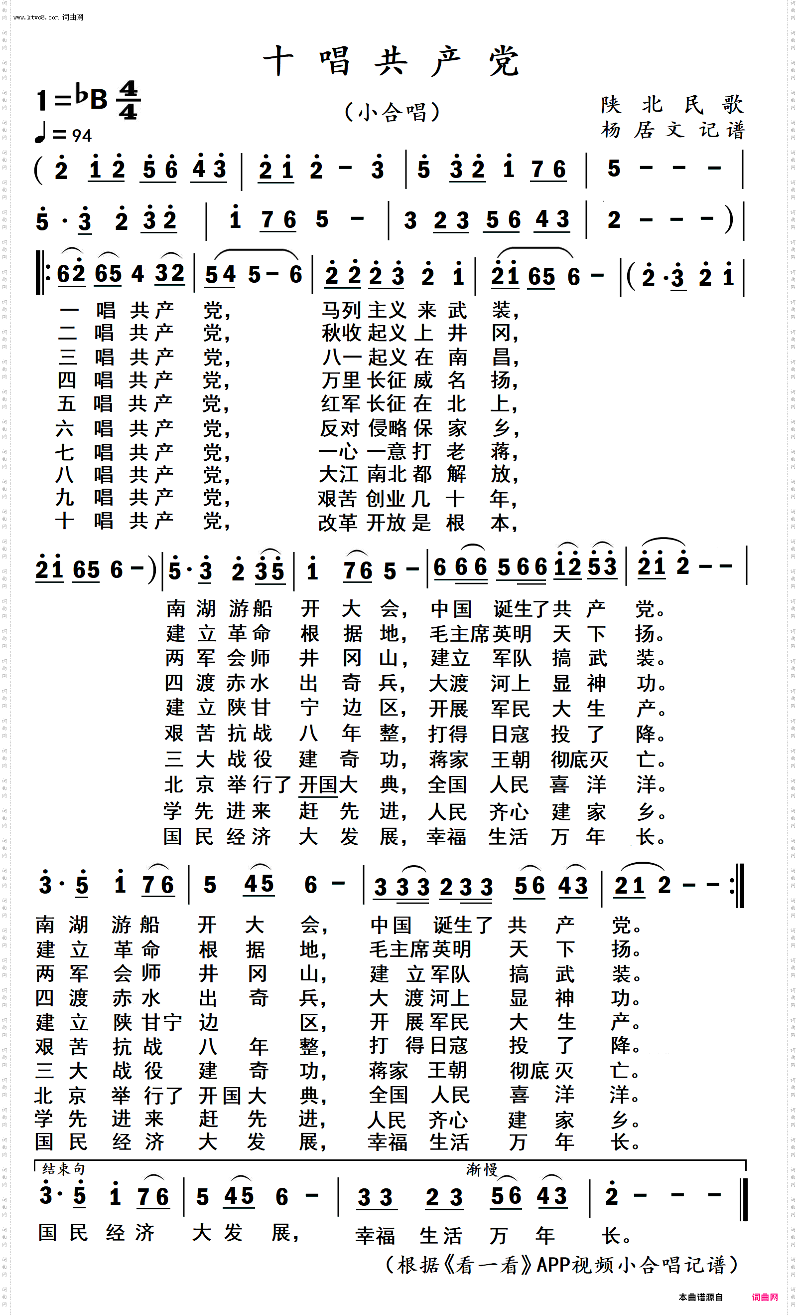
十唱共产党_小合唱

相关话题:十唱共产党   佚名   陕北民歌   小合唱   杨居文

乐器分类
戏曲专栏
热门话题