首页 > 声乐 > 简谱 / 正文内容_云上草原_尕尕 女中音演唱谱-云上草原,王小雅,虎卫东,尕尕简谱

云上草原_尕尕 女中音演唱谱-云上草原,王小雅,虎卫东,尕尕简谱

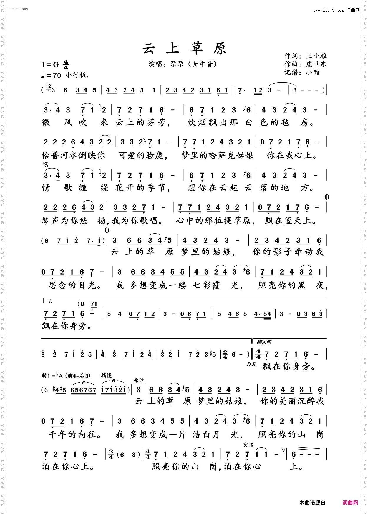
云上草原_尕尕 女中音演唱谱

相关话题:云上草原   王小雅   虎卫东   尕尕

乐器分类
戏曲专栏
热门话题