首页 > 声乐 > 简谱 / 正文内容_蝶恋花_瞿颖 演唱谱-蝶恋花,文雅,梁芒,王海涛,张馨月,瞿颖简谱

蝶恋花_瞿颖 演唱谱-蝶恋花,文雅,梁芒,王海涛,张馨月,瞿颖简谱

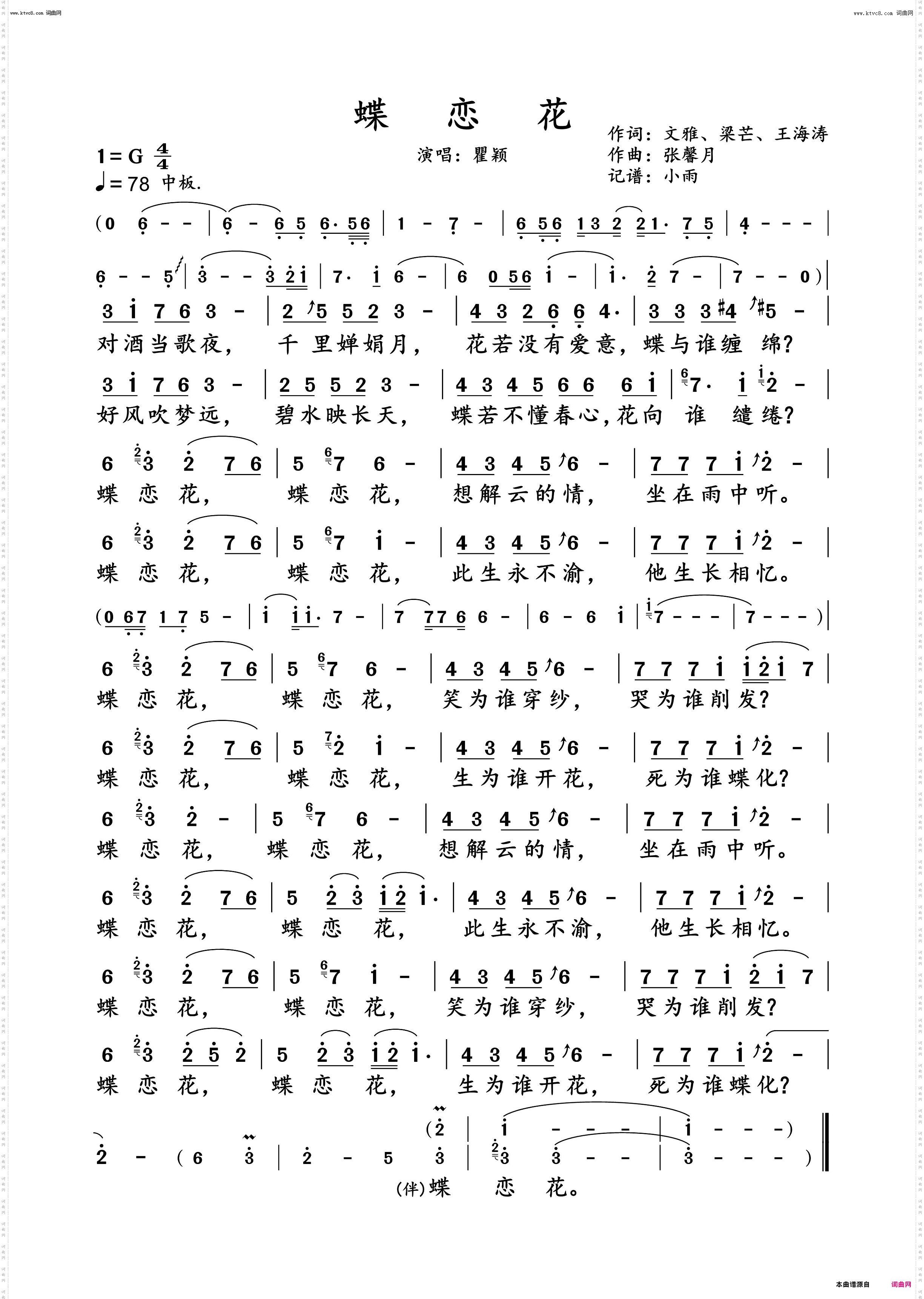
蝶恋花_瞿颖 演唱谱

相关话题:蝶恋花   文雅   梁芒   王海涛   张馨月   瞿颖

乐器分类
戏曲专栏
热门话题