首页 > 声乐 > 简谱 / 正文内容_祝福你祖国_曲丹 演唱谱-祝福你祖国,晓汤,孟宪德,曲丹简谱

祝福你祖国_曲丹 演唱谱-祝福你祖国,晓汤,孟宪德,曲丹简谱

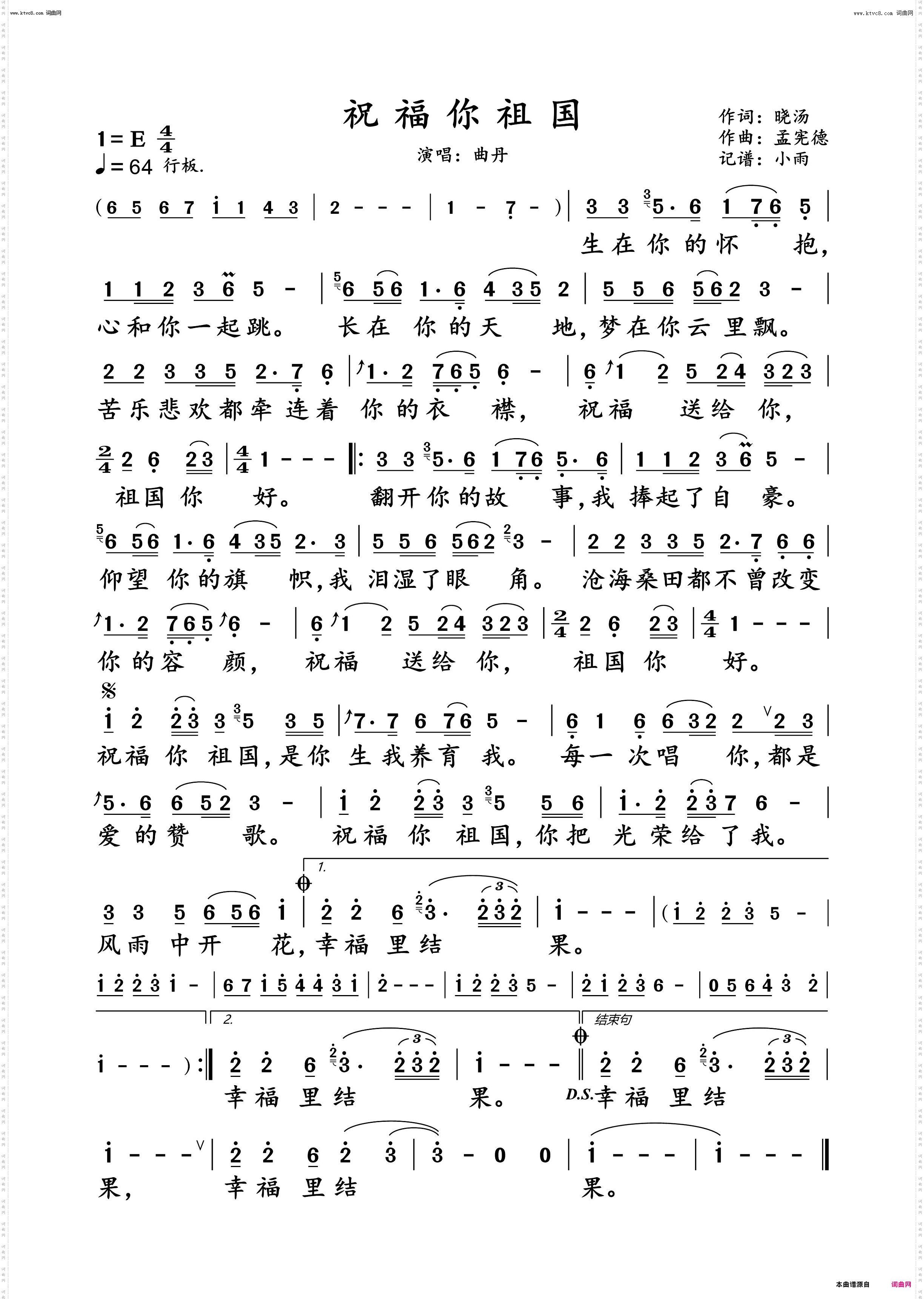
祝福你祖国_曲丹 演唱谱

相关话题:祝福你祖国   晓汤   孟宪德   曲丹

乐器分类
戏曲专栏
热门话题