首页 > 声乐 > 简谱 / 正文内容_问候-问候,肖远骑,季天然,崔叶华,马天瑞简谱

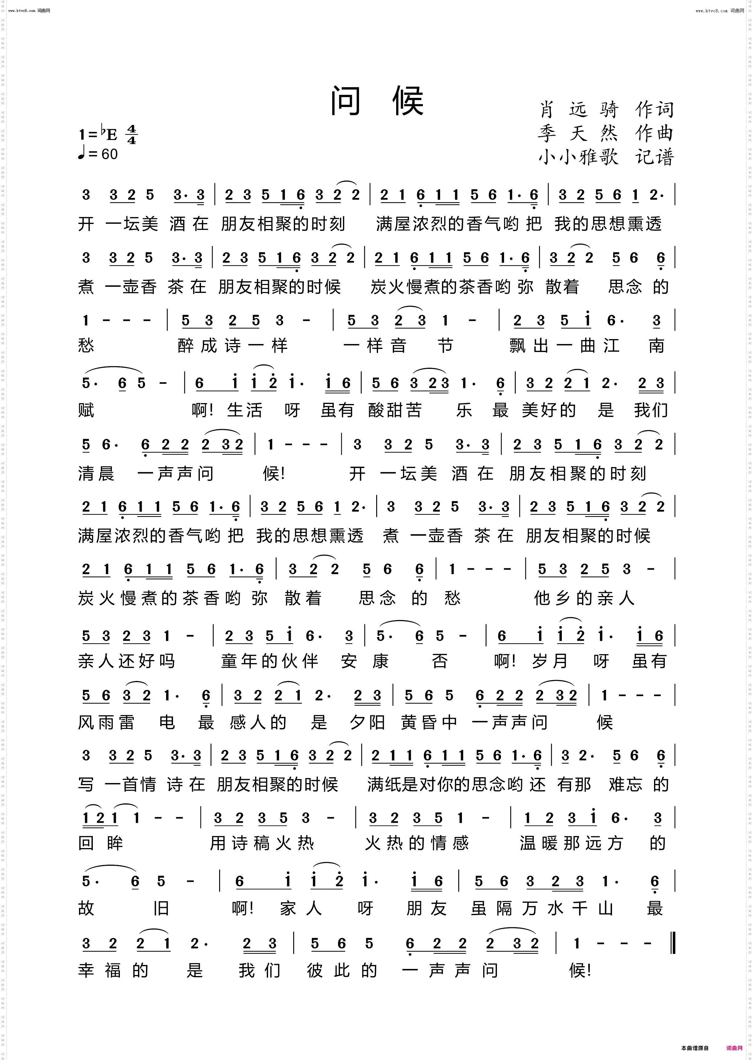
问候-问候,肖远骑,季天然,崔叶华,马天瑞简谱

问候

相关话题:问候   肖远骑   季天然   崔叶华   马天瑞

乐器分类
戏曲专栏
热门话题