首页 > 声乐 > 简谱 / 正文内容_生命的意义_校园队列歌曲-生命的意义,王海明,杨会林,学生合唱队简谱

生命的意义_校园队列歌曲-生命的意义,王海明,杨会林,学生合唱队简谱

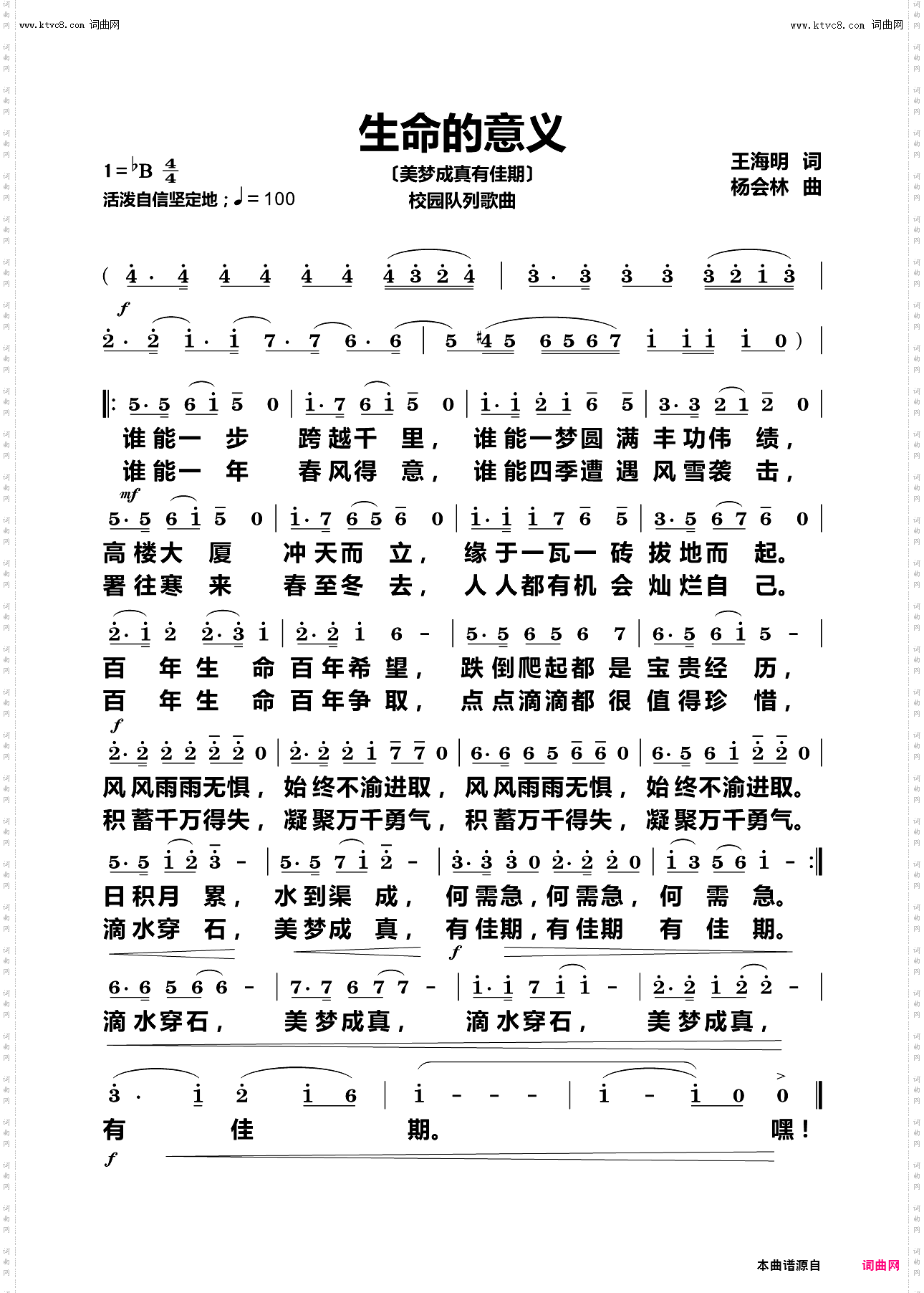
生命的意义_校园队列歌曲

相关话题:生命的意义   王海明   杨会林   学生合唱队

乐器分类
戏曲专栏
热门话题