首页 > 声乐 > 简谱 / 正文内容_喀秋莎_前苏联歌曲-喀秋莎,伊萨科夫斯基,勃兰切尔,中央乐团合唱团简谱

喀秋莎_前苏联歌曲-喀秋莎,伊萨科夫斯基,勃兰切尔,中央乐团合唱团简谱

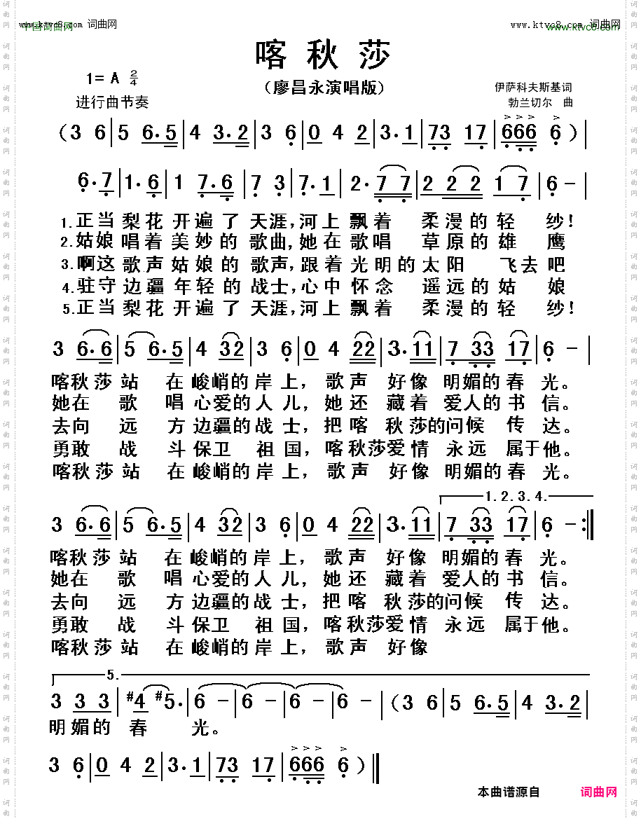
喀秋莎_前苏联歌曲

相关话题:喀秋莎   伊萨科夫斯基   勃兰切尔   中央乐团合唱团

乐器分类
戏曲专栏
热门话题