首页 > 声乐 > 简谱 / 正文内容_握不住的沙-握不住的沙,菜籽,菜籽简谱

握不住的沙-握不住的沙,菜籽,菜籽简谱

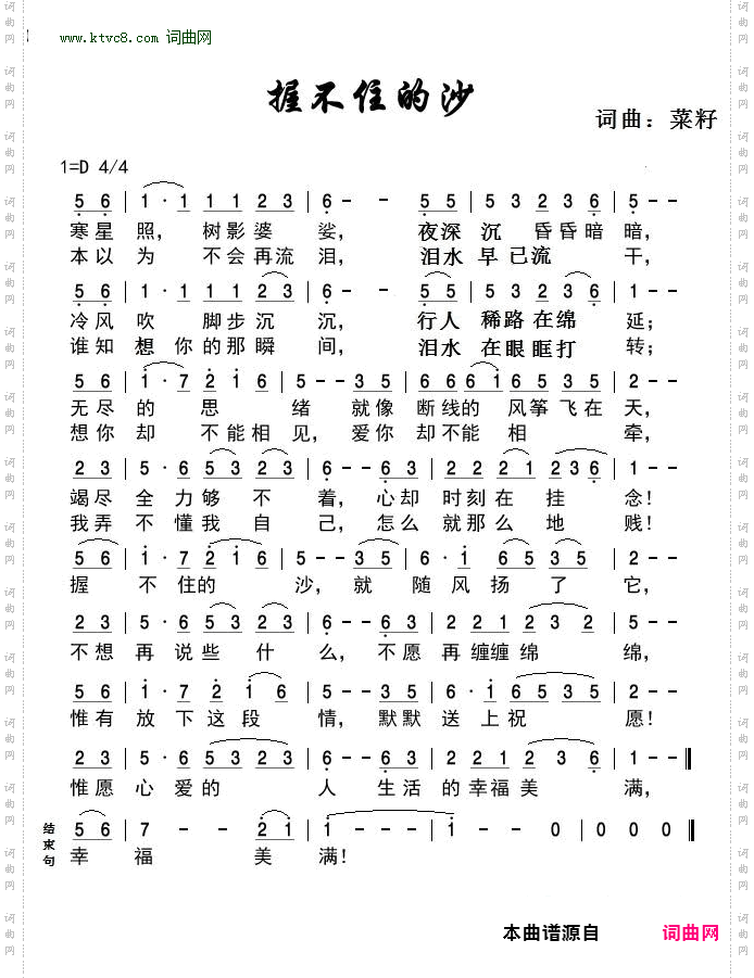
握不住的沙

相关话题:握不住的沙   菜籽   菜籽

乐器分类
戏曲专栏
热门话题