首页 > 声乐 > 简谱 / 正文内容_伯温烧饼真正棒_浙江文成县伯温烧饼赞-张宏梁,张宏梁,张宏梁简谱

伯温烧饼真正棒_浙江文成县伯温烧饼赞-张宏梁,张宏梁,张宏梁简谱

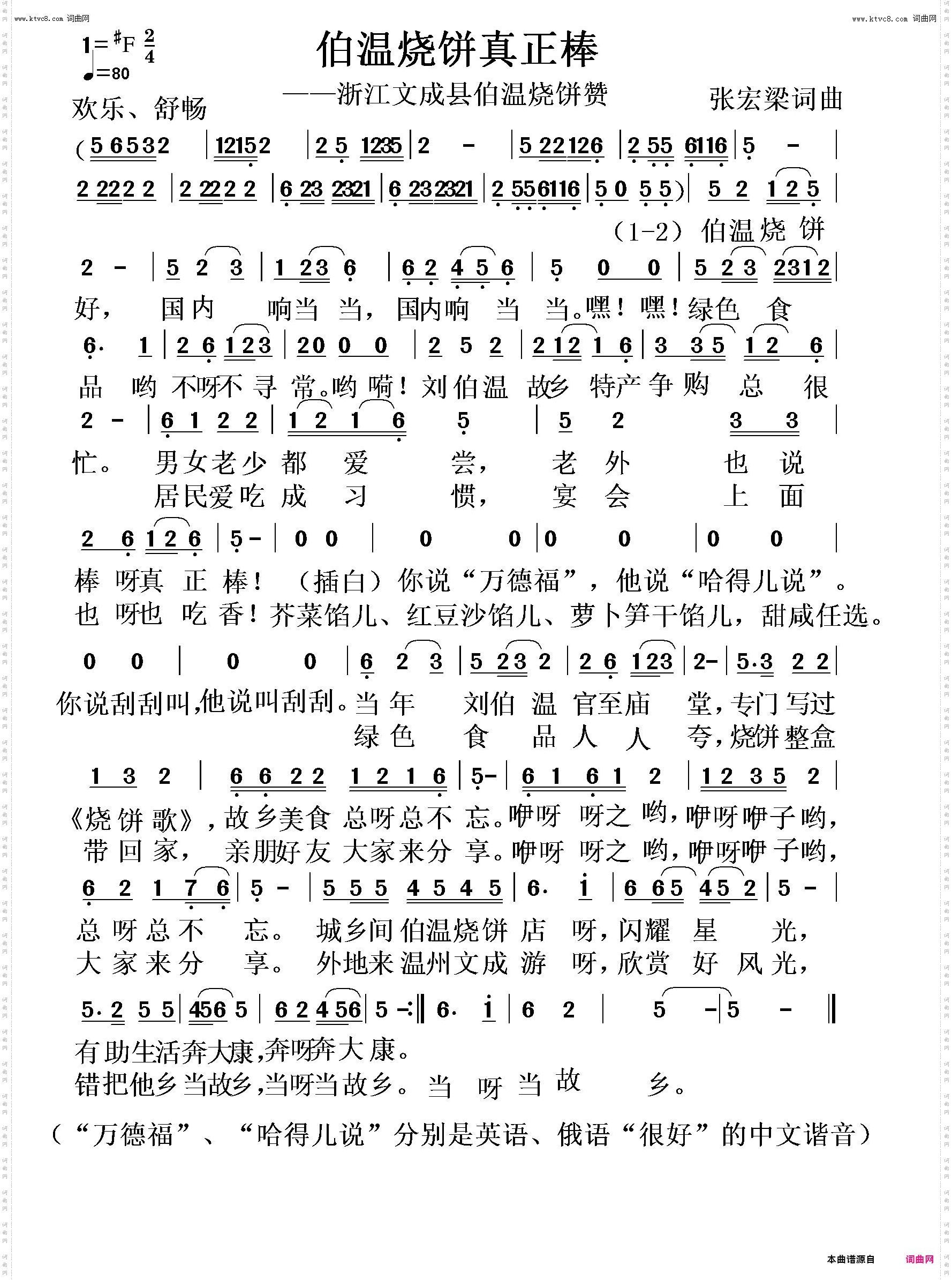
伯温烧饼真正棒_浙江文成县伯温烧饼赞

相关话题:张宏梁   张宏梁   张宏梁

乐器分类
戏曲专栏
热门话题