首页 > 声乐 > 简谱 / 正文内容_花儿美心儿甜 晓鹏DJ版-时嘉,时嘉,时嘉,于洋简谱

花儿美心儿甜 晓鹏DJ版-时嘉,时嘉,时嘉,于洋简谱

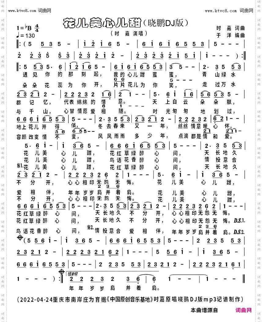
花儿美心儿甜 晓鹏DJ版

相关话题:时嘉   时嘉   时嘉   于洋

乐器分类
戏曲专栏
热门话题