首页 > 声乐 > 简谱 / 正文内容_苹果香_张大伟 演唱谱-苹果香,狼戈,狼戈,张大伟简谱

苹果香_张大伟 演唱谱-苹果香,狼戈,狼戈,张大伟简谱

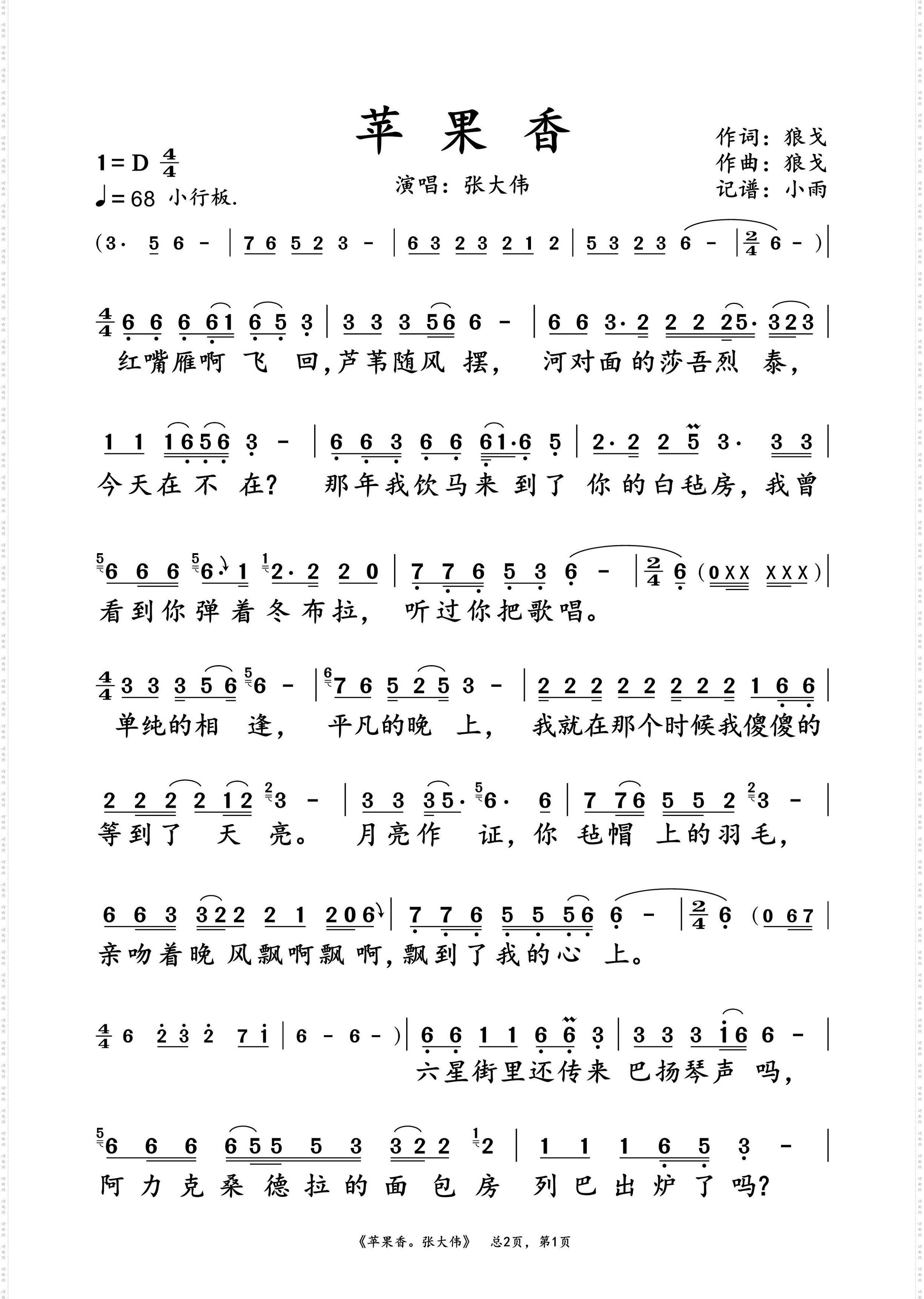
苹果香_张大伟 演唱谱

苹果香_张大伟 演唱谱

相关话题:苹果香   狼戈   狼戈   张大伟

乐器分类
戏曲专栏
热门话题