首页 > 声乐 > 简谱 / 正文内容_争当防疫先锋-争当防疫先锋,王国平,钱诚简谱

争当防疫先锋-争当防疫先锋,王国平,钱诚简谱

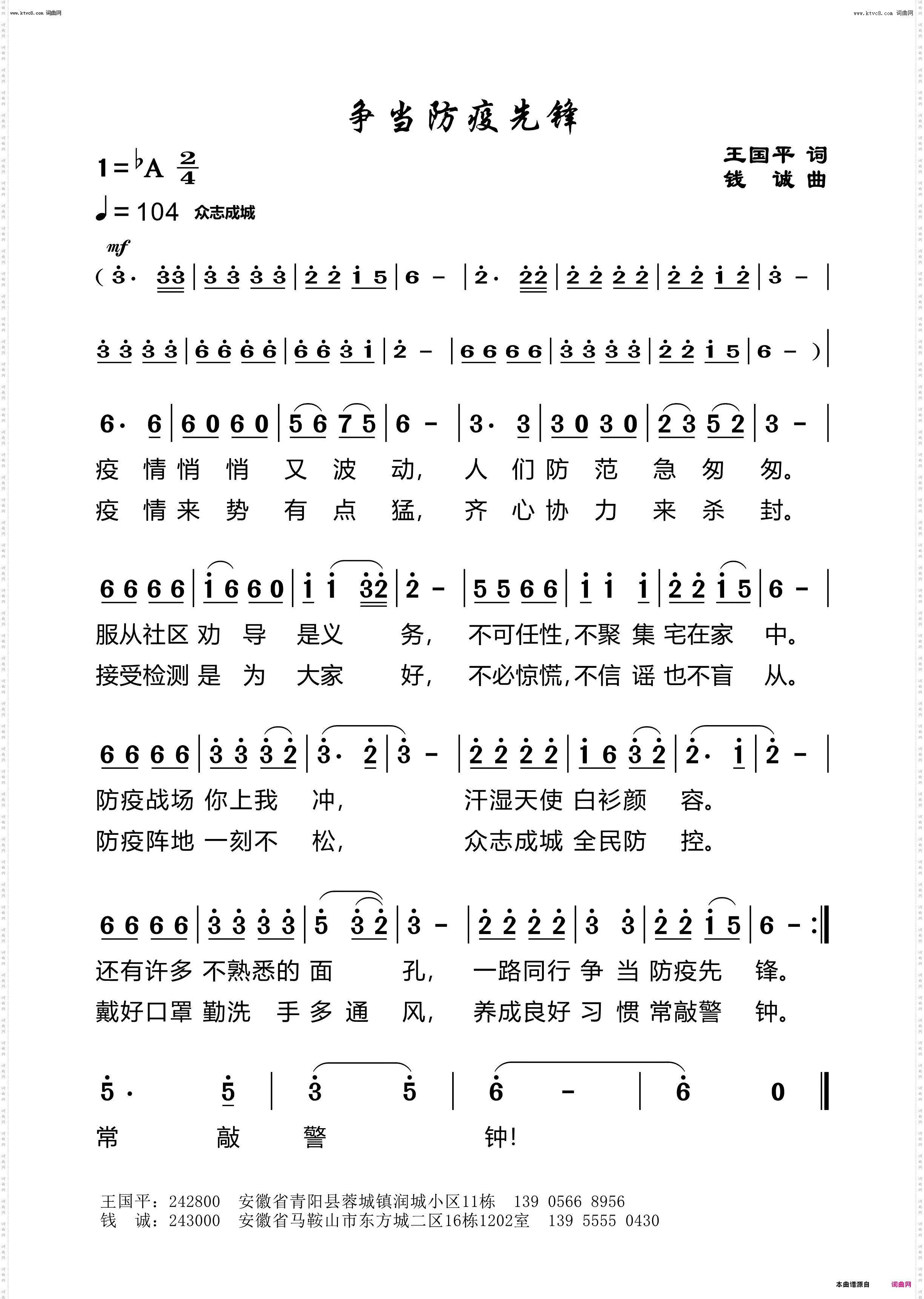
争当防疫先锋

相关话题:争当防疫先锋   王国平   钱诚

乐器分类
戏曲专栏
热门话题