首页 > 声乐 > 简谱 / 正文内容_你是我的海市蜃楼_魏佳艺、万海东 对唱演唱谱-张凤敏,王佳瑜,魏佳艺,万海东简谱

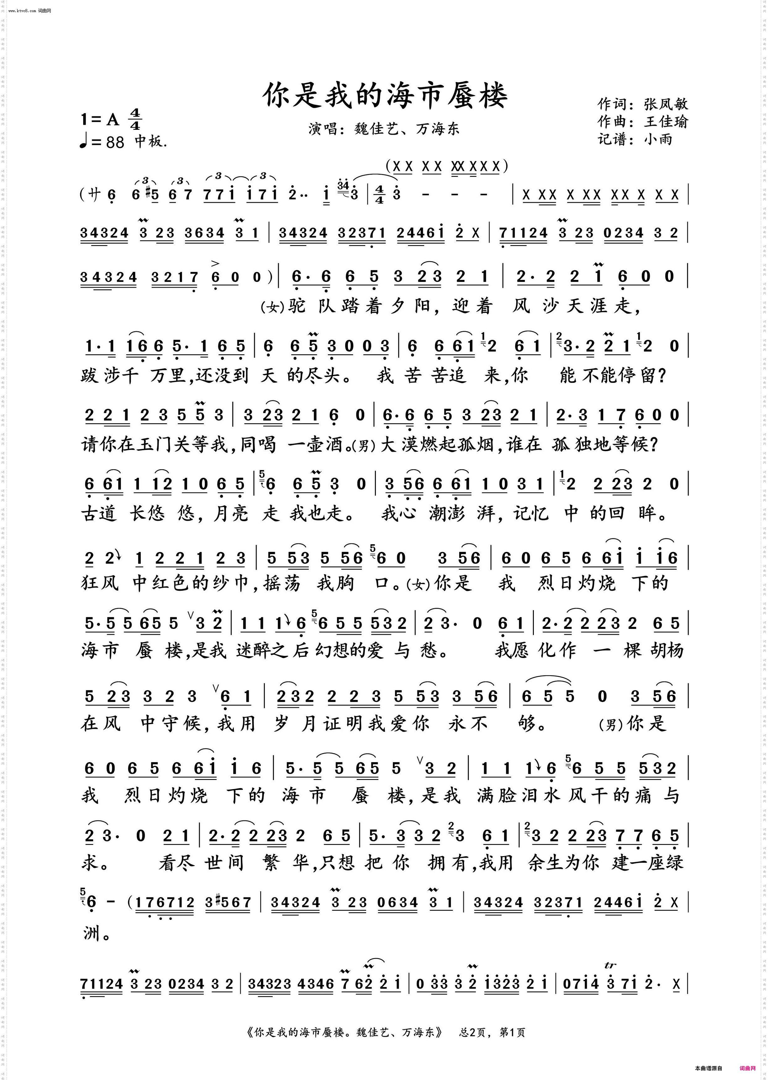
你是我的海市蜃楼_魏佳艺、万海东 对唱演唱谱-张凤敏,王佳瑜,魏佳艺,万海东简谱

你是我的海市蜃楼_魏佳艺、万海东 对唱演唱谱

你是我的海市蜃楼_魏佳艺、万海东 对唱演唱谱

相关话题:张凤敏   王佳瑜   魏佳艺   万海东

乐器分类
戏曲专栏
热门话题