首页 > 声乐 > 简谱 / 正文内容_为你歌唱-为你歌唱,叶旭全,李小兵,王永桦简谱

为你歌唱-为你歌唱,叶旭全,李小兵,王永桦简谱

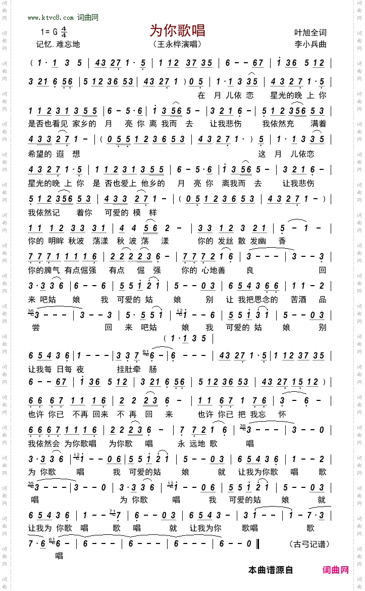
为你歌唱

相关话题:为你歌唱   叶旭全   李小兵   王永桦

乐器分类
戏曲专栏
热门话题