首页 > 声乐 > 简谱 / 正文内容_战友情一生-战友情一生,吴国涛,吴国涛,李咏祺简谱

战友情一生-战友情一生,吴国涛,吴国涛,李咏祺简谱

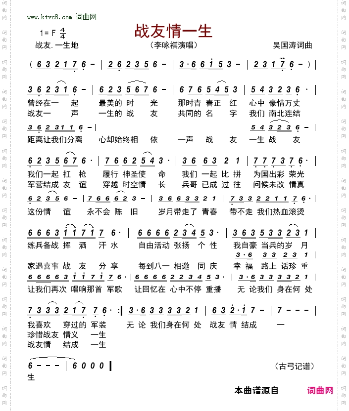
战友情一生

相关话题:战友情一生   吴国涛   吴国涛   李咏祺

乐器分类
戏曲专栏
热门话题