首页 > 声乐 > 简谱 / 正文内容_花开在回家的路上-十二兄,黄小逸,梨笑笑,杠杠简谱

花开在回家的路上-十二兄,黄小逸,梨笑笑,杠杠简谱

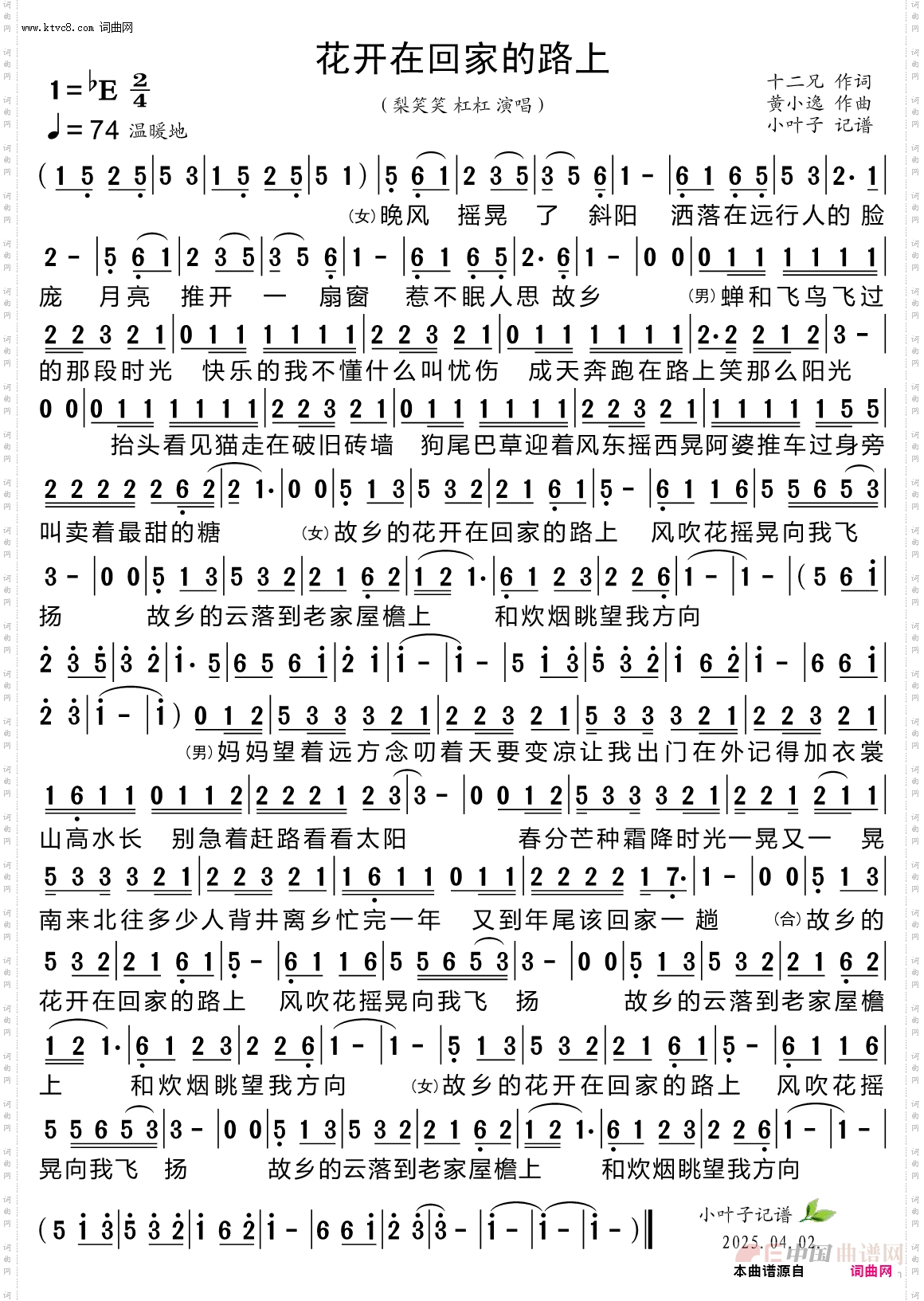
花开在回家的路上

相关话题:十二兄   黄小逸   梨笑笑   杠杠

乐器分类
戏曲专栏
热门话题