首页 > 声乐 > 简谱 / 正文内容_红军哥哥我想你-王栋,谌丽君,敏慧,若水简谱

红军哥哥我想你-王栋,谌丽君,敏慧,若水简谱

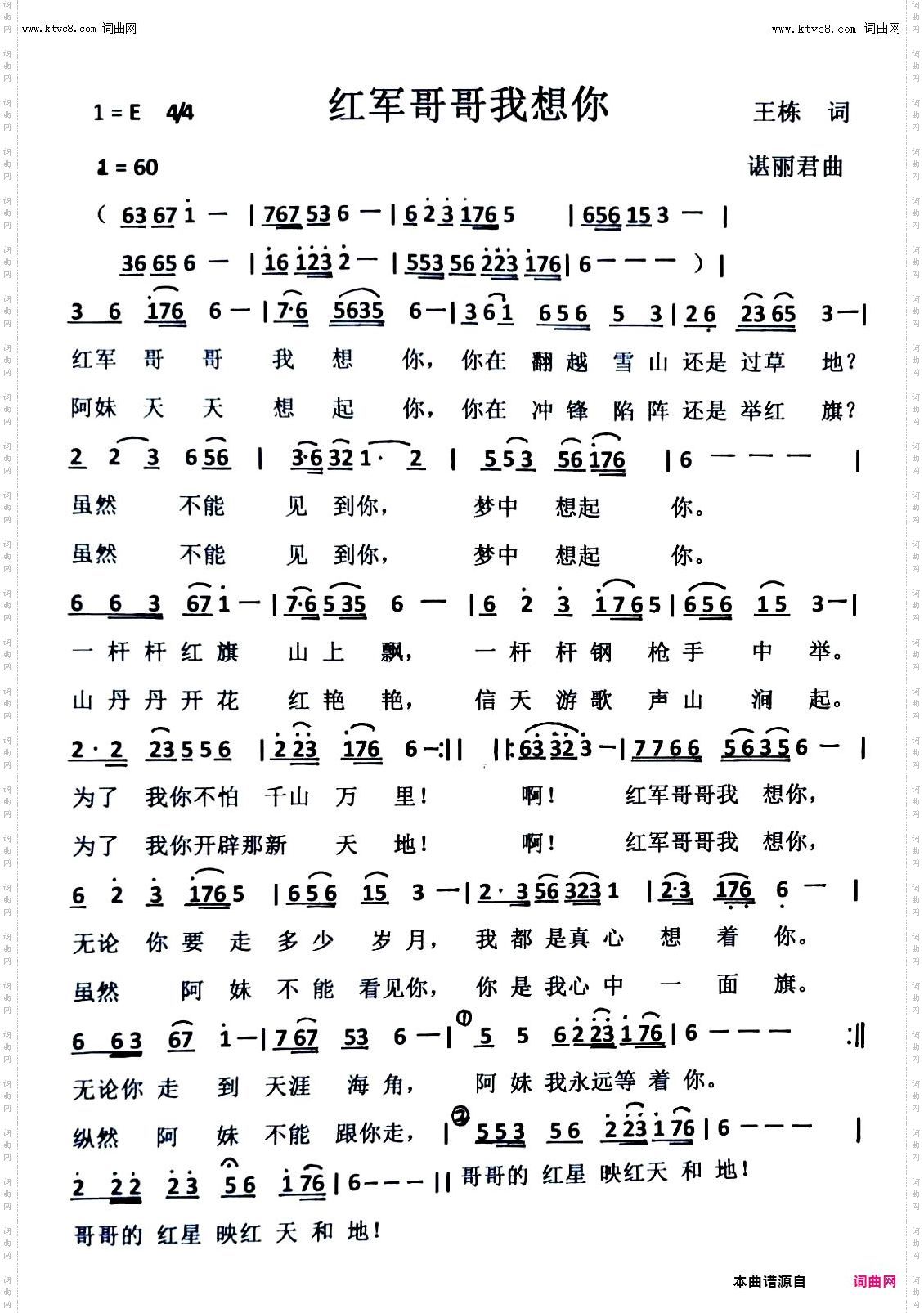
红军哥哥我想你

相关话题:王栋   谌丽君   敏慧   若水

乐器分类
戏曲专栏
热门话题