首页 > 声乐 > 简谱 / 正文内容_春雨-春雨,陈斌,陈斌简谱

春雨-春雨,陈斌,陈斌简谱

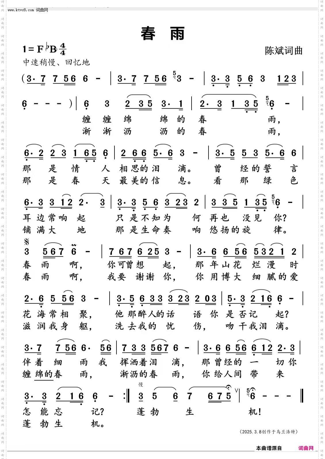
春雨

相关话题:春雨   陈斌   陈斌

乐器分类
戏曲专栏
热门话题