首页 > 声乐 > 简谱 / 正文内容_把悲伤还给悲伤_《掌声响起》主题曲-陈家丽,钮大可,吴静娴简谱

把悲伤还给悲伤_《掌声响起》主题曲-陈家丽,钮大可,吴静娴简谱

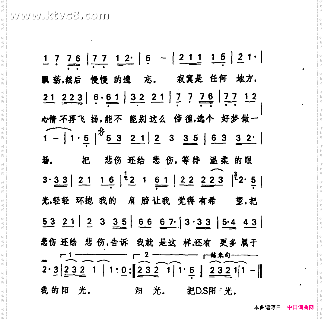
把悲伤还给悲伤_《掌声响起》主题曲

把悲伤还给悲伤_《掌声响起》主题曲

相关话题:陈家丽   钮大可   吴静娴

乐器分类
戏曲专栏
热门话题