首页 > 声乐 > 简谱 / 正文内容_在你里面活-在你里面活,李勇,孙志刚,婷婷,心的归回简谱

在你里面活-在你里面活,李勇,孙志刚,婷婷,心的归回简谱

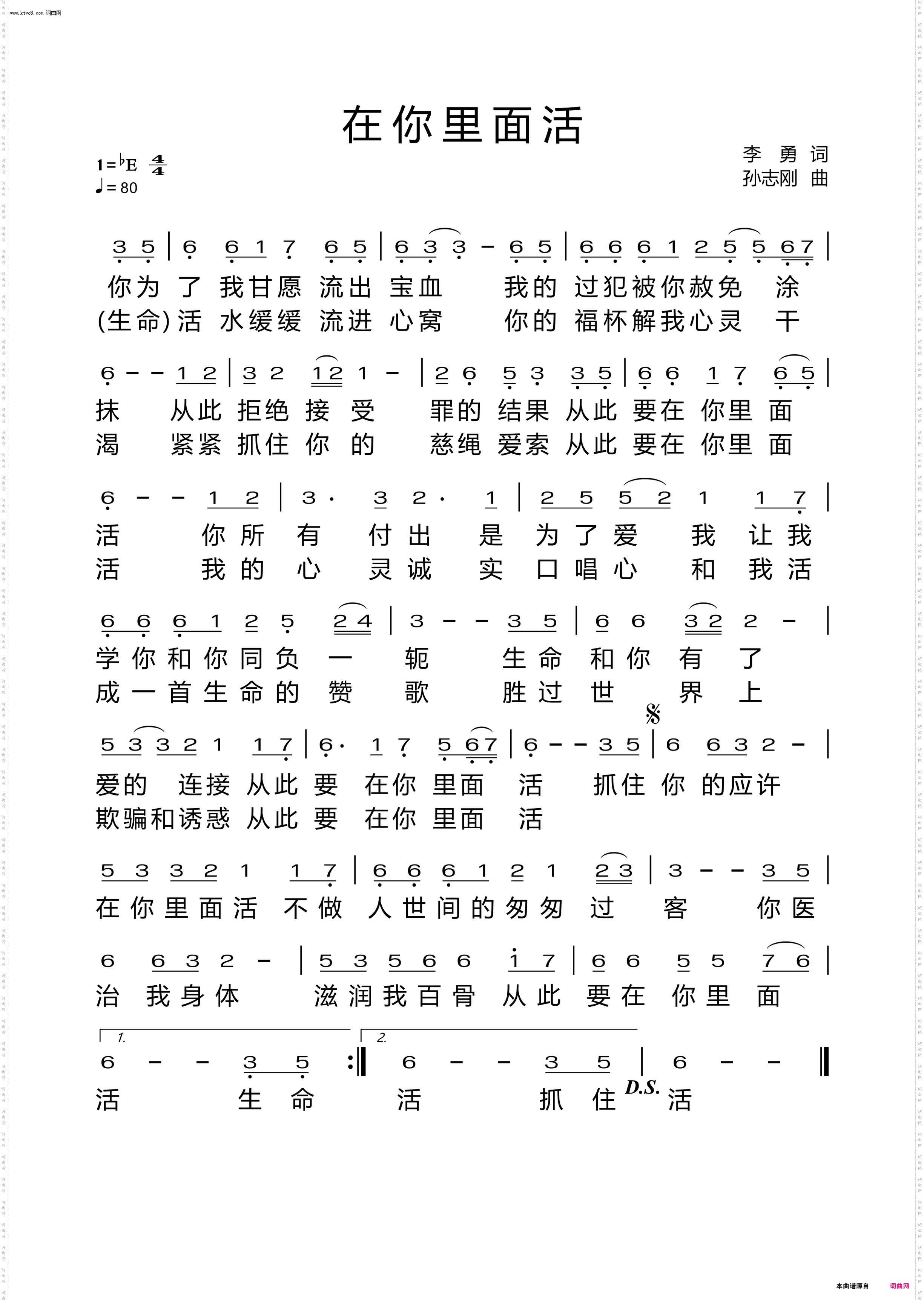
在你里面活

相关话题:在你里面活   李勇   孙志刚   婷婷   心的归回

乐器分类
戏曲专栏
热门话题