首页 > 声乐 > 简谱 / 正文内容_真情倾注真教育-张宏梁,张宏梁,张宏梁简谱

真情倾注真教育-张宏梁,张宏梁,张宏梁简谱

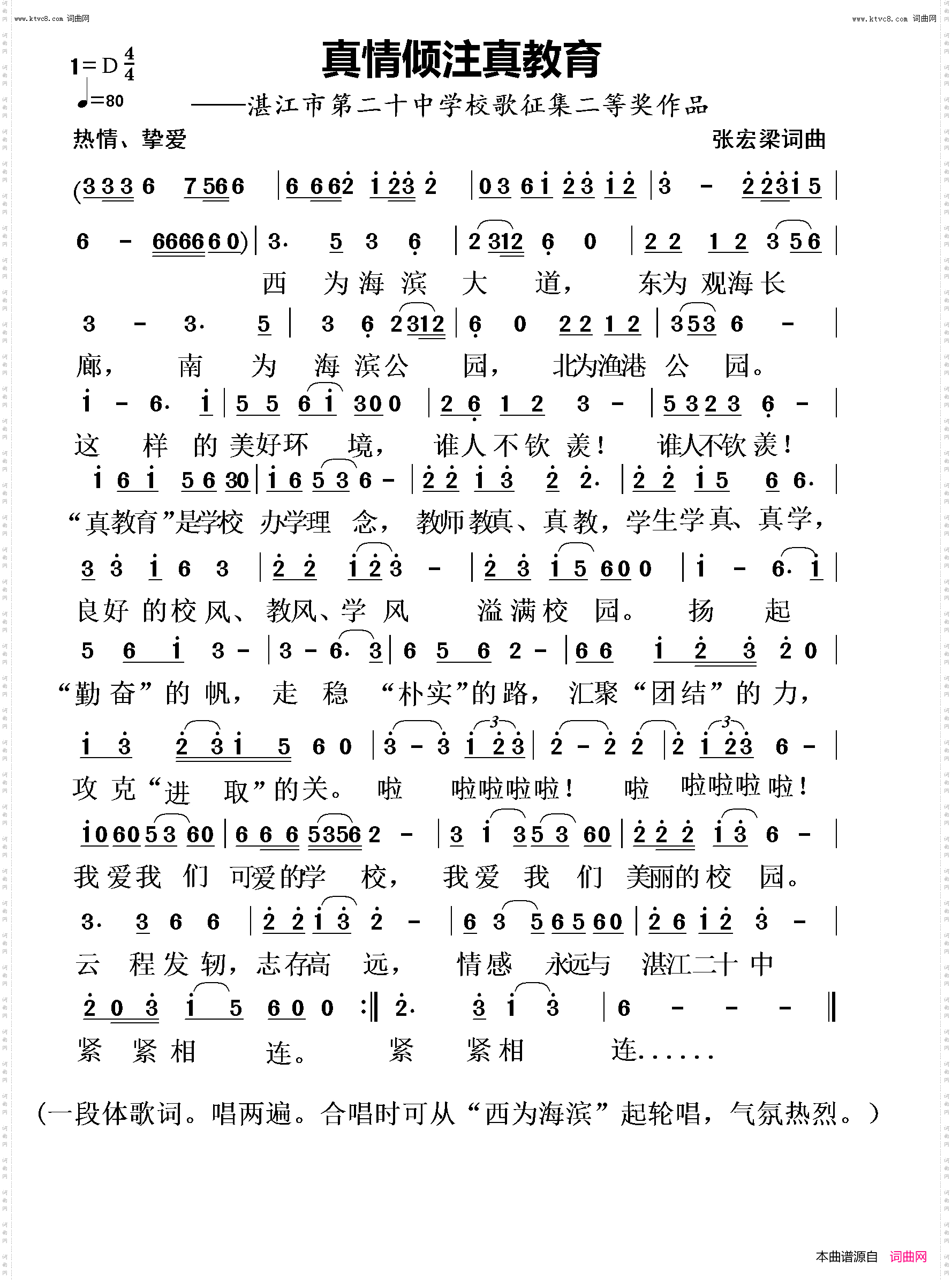
真情倾注真教育

相关话题:张宏梁   张宏梁   张宏梁

乐器分类
戏曲专栏
热门话题