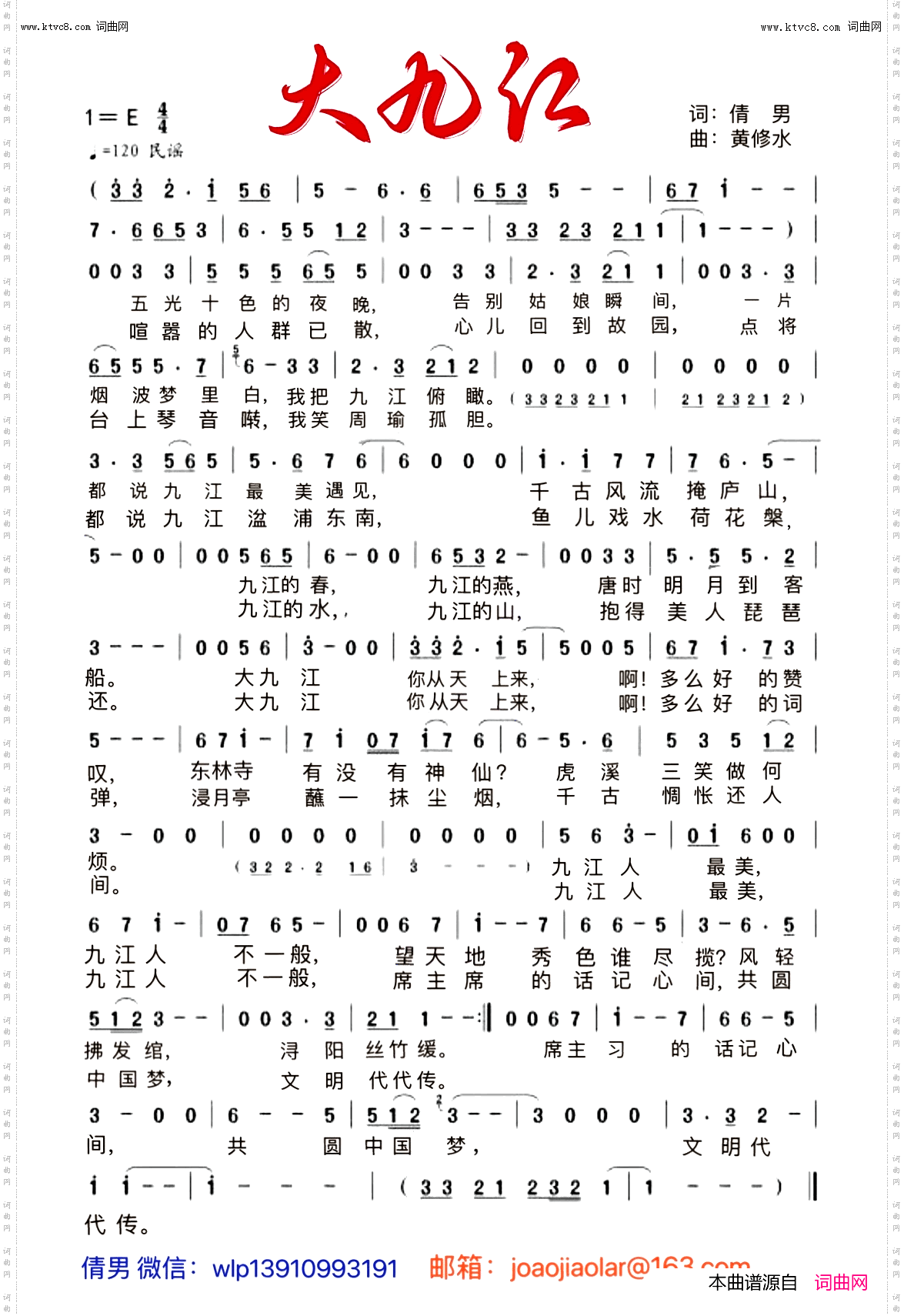
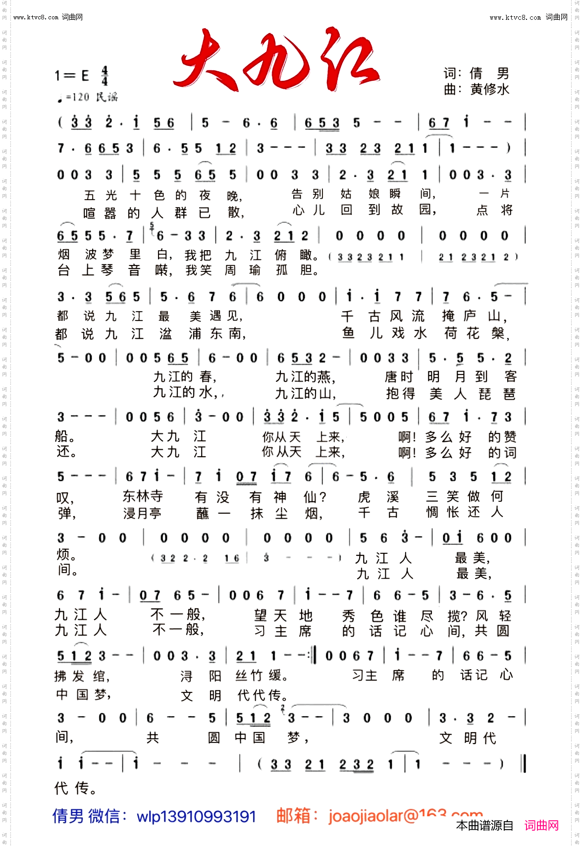
首页 > 声乐 > 简谱 / 正文内容_大九江_——建设文明城市公益歌曲《九江颂》之〈大九江〉-大九江,倩男,黄修水简谱

大九江_——建设文明城市公益歌曲《九江颂》之〈大九江〉-大九江,倩男,黄修水简谱

大九江_——建设文明城市公益歌曲《九江颂》之〈大九江〉

大九江_——建设文明城市公益歌曲《九江颂》之〈大九江〉

相关话题:大九江   倩男   黄修水

乐器分类
戏曲专栏
热门话题