首页 > 声乐 > 简谱 / 正文内容_人民万岁-人民万岁,杨肃清,杨肃清,杨肃清,石玉川简谱

人民万岁-人民万岁,杨肃清,杨肃清,杨肃清,石玉川简谱

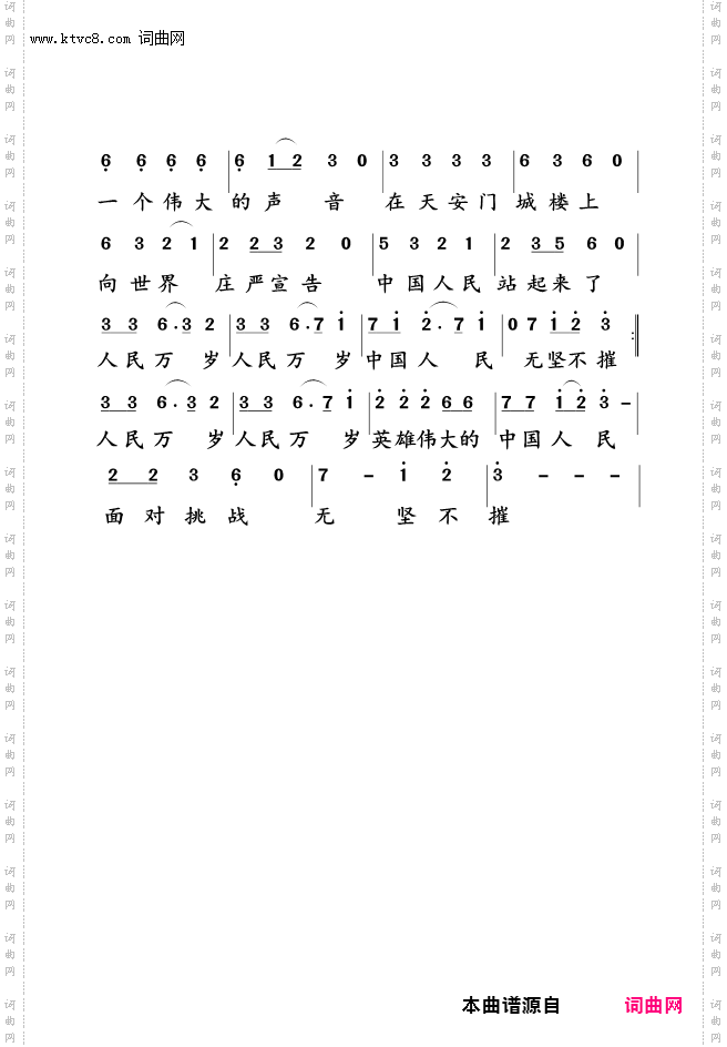
人民万岁

人民万岁

人民万岁

相关话题:人民万岁   杨肃清   杨肃清   杨肃清   石玉川

乐器分类
戏曲专栏
热门话题