首页 > 戏曲 > 粤剧粤曲谱 / 正文内容_南粤欢歌_ 粤曲-南粤欢歌,梁玉嵘粤剧粤曲谱

南粤欢歌_ 粤曲-南粤欢歌,梁玉嵘粤剧粤曲谱

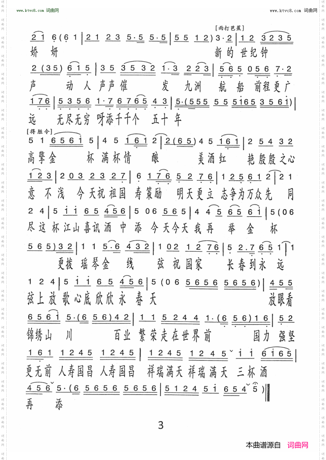
南粤欢歌_ 粤曲

南粤欢歌_ 粤曲

南粤欢歌_ 粤曲

相关话题:南粤欢歌   梁玉嵘

乐器分类
戏曲专栏
热门话题