首页 > 戏曲 > 粤剧粤曲谱 / 正文内容_碎銮舆-碎銮舆粤剧粤曲谱

碎銮舆-碎銮舆粤剧粤曲谱

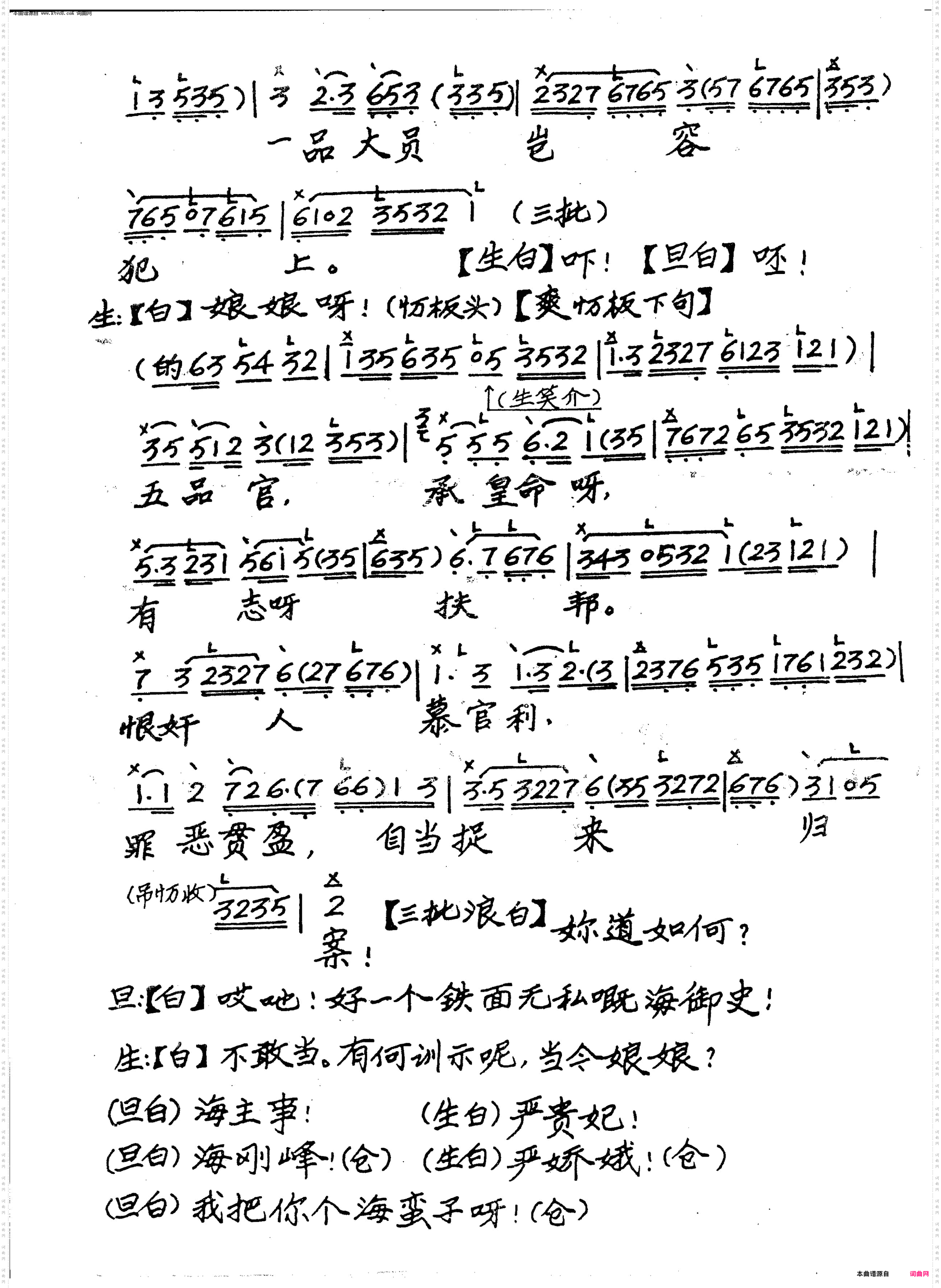
碎銮舆

碎銮舆

碎銮舆

碎銮舆

碎銮舆

碎銮舆

碎銮舆

碎銮舆

碎銮舆

碎銮舆

碎銮舆

碎銮舆

相关话题:碎銮舆

猜你喜欢的粤剧粤曲谱

    暂无相关信息
乐器分类
戏曲专栏
热门话题