首页 > 声乐 > 简谱 / 正文内容_醉美石圳-醉美石圳,王倩茹官荣智,吴雄,李庆芳,郑风简谱

醉美石圳-醉美石圳,王倩茹官荣智,吴雄,李庆芳,郑风简谱

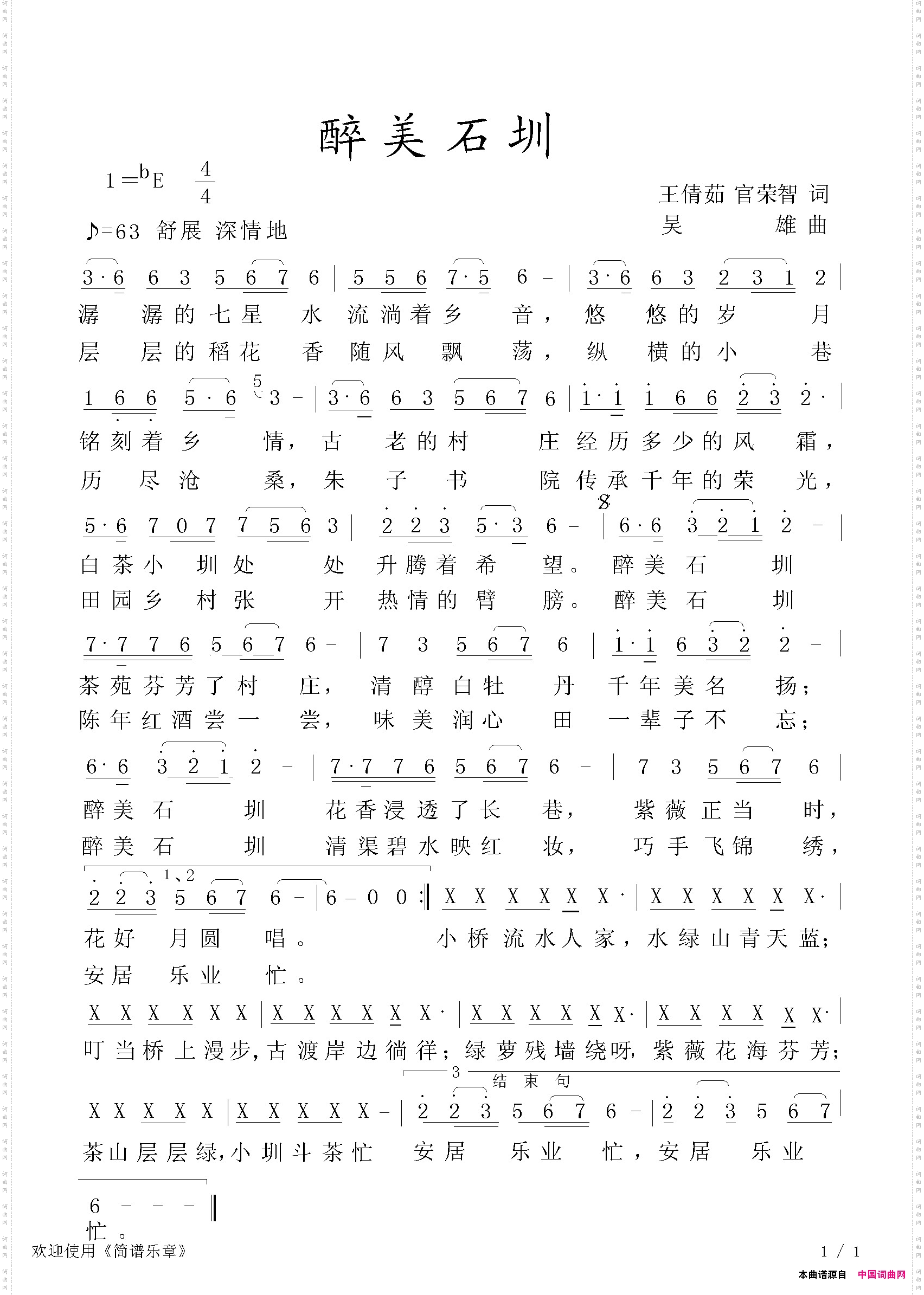
醉美石圳

相关话题:醉美石圳   王倩茹官荣智   吴雄   李庆芳   郑风

乐器分类
戏曲专栏
热门话题