首页 > 声乐 > 简谱 / 正文内容_一支支山歌唱延安-郑维忠,郑维忠简谱

一支支山歌唱延安-郑维忠,郑维忠简谱

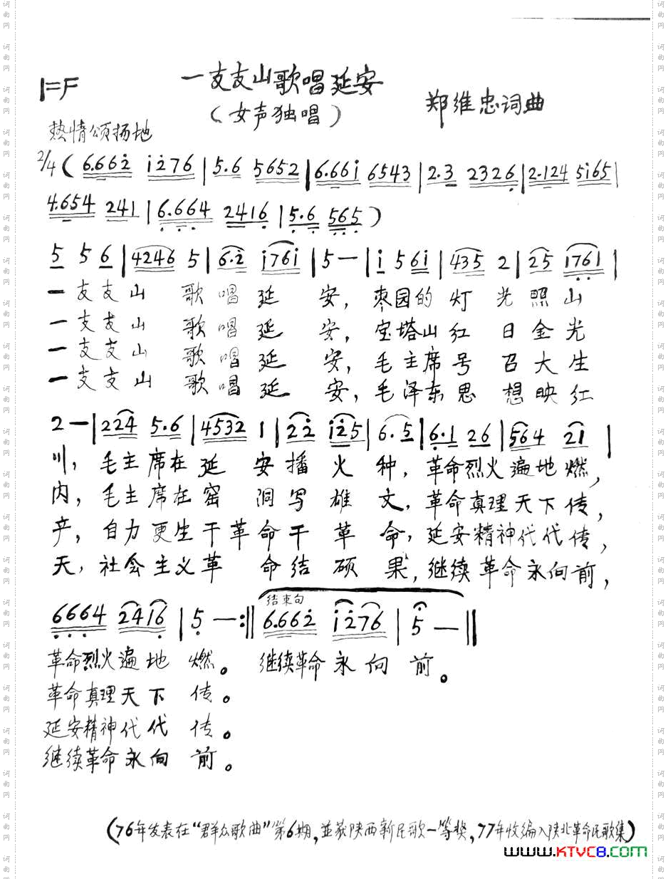
一支支山歌唱延安

相关话题:郑维忠   郑维忠

乐器分类
戏曲专栏
热门话题