首页 > 声乐 > 简谱 / 正文内容_八路军军歌-八路军军歌,公木,郑律成,中国人民解放军总政治部歌舞团合唱队,天问地李简谱

八路军军歌-八路军军歌,公木,郑律成,中国人民解放军总政治部歌舞团合唱队,天问地李简谱

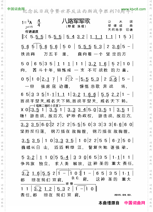
八路军军歌

相关话题:八路军军歌   公木   郑律成   中国人民解放军总政治部歌舞团合唱队   天问地李

乐器分类
戏曲专栏
热门话题