首页 > 声乐 > 简谱 / 正文内容_八路军军歌-八路军军歌简谱

八路军军歌-八路军军歌简谱

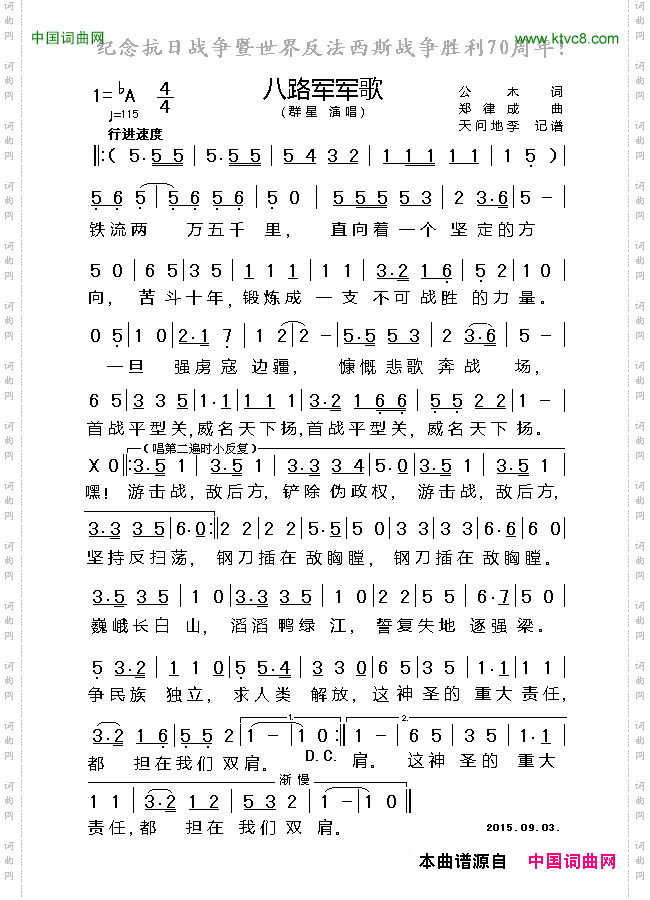
八路军军歌

相关话题:八路军军歌

乐器分类
戏曲专栏
热门话题