首页 > 声乐 > 简谱 / 正文内容_红昭愿-红昭愿简谱

红昭愿-红昭愿简谱

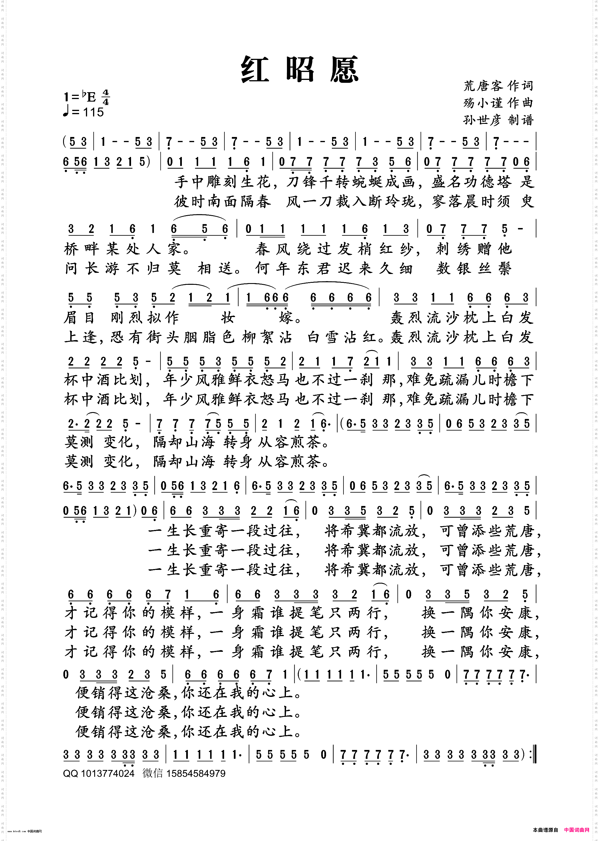
红昭愿

相关话题:红昭愿

乐器分类
戏曲专栏
热门话题