首页 > 声乐 > 简谱 / 正文内容_化身孤岛的鲸-化身孤岛的鲸简谱

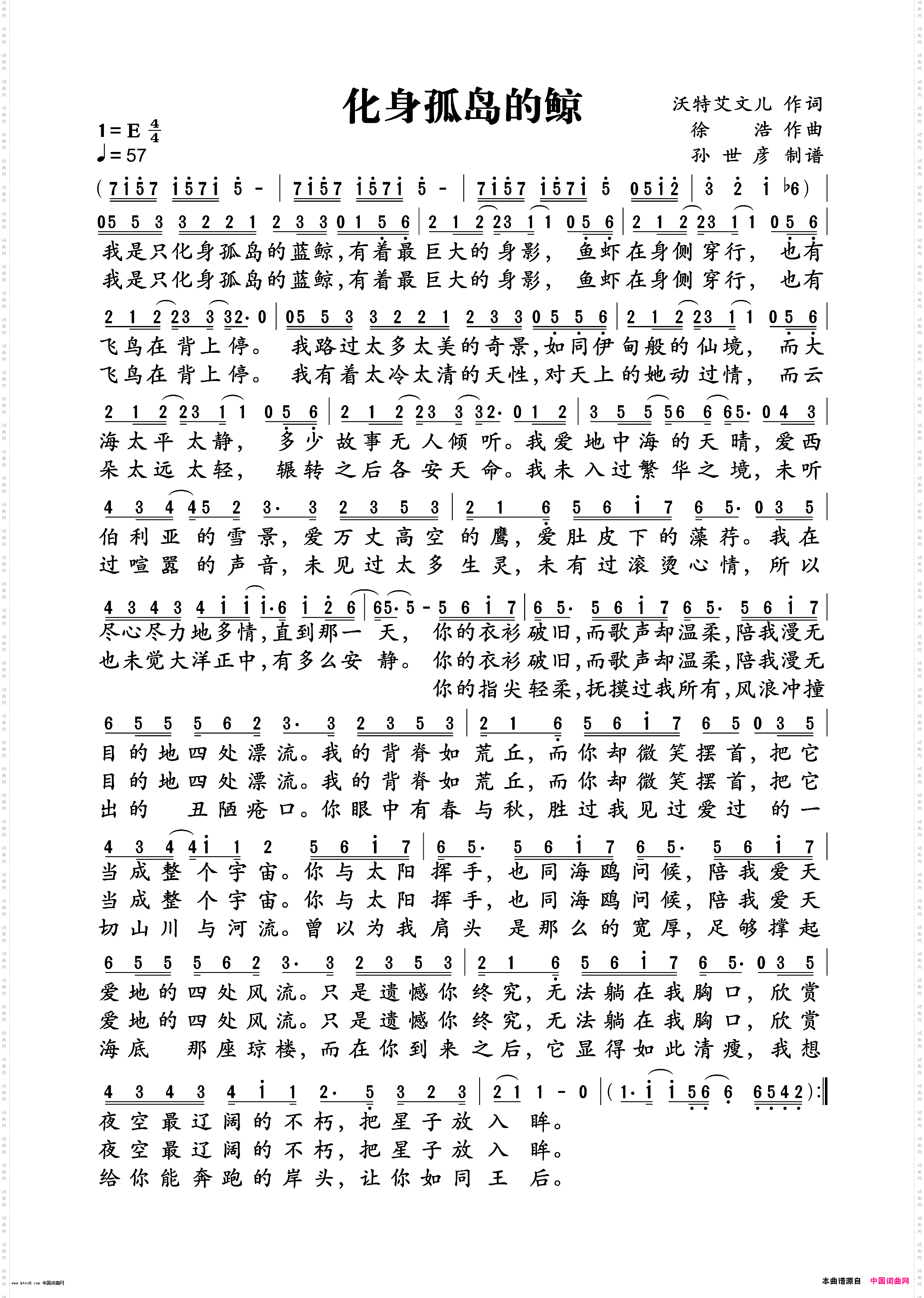
化身孤岛的鲸-化身孤岛的鲸简谱

化身孤岛的鲸

相关话题:化身孤岛的鲸

乐器分类
戏曲专栏
热门话题